8 svar
83 visningar
eddberlu behöver inte mer hjälp
eddberlu 1815
Postad: 7 feb 2024 18:51

Isotoper

Jag försökte hitta kol 15, jag antar att det är en isotop av kol som grundämne? Hittar det dock inte i formelboken.. Har ingen lista över isotoper i den överhuvudtaget. Bara atomer, grundämnen och nuklider. 

Min fråga är alltså delvis: Vad är Kol-15? Borde det finnas i formelboken och vad i sådant fall borde jag leta efter?

Smaragdalena 78892 – Avstängd
Postad: 7 feb 2024 19:19
eddberlu skrev:

Jag försökte hitta kol 15, jag antar att det är en isotop av kol som grundämne? Hittar det dock inte i formelboken.. Har ingen lista över isotoper i den överhuvudtaget. Bara atomer, grundämnen och nuklider. 

Min fråga är alltså delvis: Vad är Kol-15? Borde det finnas i formelboken och vad i sådant fall borde jag leta efter?

Om du har en lista över nuklider, så har du en lista över isotoper.

Kol-15 är en ganska ovanlig kol-isotop. Du behöver inte något mer än det som står i uppgiften för att kunna lösa uppgiften. Tänk på hur aktiviteten hänger ihop med substansmängden!

eddberlu 1815
Postad: 7 feb 2024 19:22

Huur hänger aktiviteten ihop med substansmängden? hehe

Smaragdalena 78892 – Avstängd
Postad: 7 feb 2024 19:26

Aktiviteten är hur många atomer som sönderfaller varje sekund, d v s aktiviteten är föränfringen av substansmängden. Mer matematiskt kan man säga att aktiviteten är derivatan av substansmängden.

eddberlu 1815
Postad: 7 feb 2024 19:33

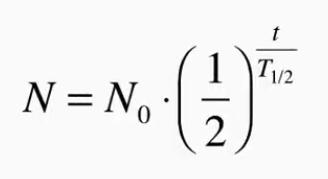
Den här formeln använder de i genomgången. 
Formeln i min bok lyder N=N02-tT
Samma sak? Hur i såna fall? Är det att 2^- blir 12tT?

eddberlu 1815
Postad: 7 feb 2024 19:33
Smaragdalena skrev:

Aktiviteten är hur många atomer som sönderfaller varje sekund, d v s aktiviteten är föränfringen av substansmängden. Mer matematiskt kan man säga att aktiviteten är derivatan av substansmängden.

och substansmängden är massan i gram? 

Smaragdalena 78892 – Avstängd
Postad: 7 feb 2024 20:27

Egentligen inte, men jag kunde lika gärna ha skrivit massan, så räkna med det.  Jag är ju kemist, så jag tänker mer i mol än i gram.

eddberlu 1815
Postad: 8 feb 2024 14:04

Ahaa, ah har kemi nästa månad så kommer bli en del mol frågor då

Smaragdalena 78892 – Avstängd
Postad: 8 feb 2024 14:40

Det ser jag fram emot!   ;-)

Svara
Close