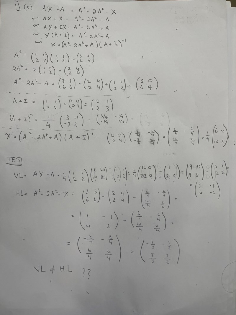
Jag har försökt lösa den här matrisekvationen men när jag testar svaret ser det ut att vara fel
Uppgift 1c
här är min lösning, jag förstår inte vad det är jag gör fel

Tänk på att matrismultiplikation inte är kommutativ – är inte samma som . :)
Sen tror jag att du räknar fel i din test. Du skriver VL=... men du glömmer att subtrahera A.
Menar du att jag har gjort fel med matrismultiplikation, vilket steg är det jag gör fel isf?
Det blir ändå inte rätt när jag subtraherar A från VL.

Smutstvätt skrev:Tänk på att matrismultiplikation inte är kommutativ – är inte samma som . :)
Menar du när jag multiplicerar med inversen? Det gör jag från höger på både led eller ser du något annat fel?
Smutstvätt menar att du gör fel när du bryter ut X mellan rad 3 och 4 överst i din första post.
AX+IX är inte samma som X(A+I)
Peter skrev:
Smutstvätt menar att du gör fel när du bryter ut X mellan rad 3 och 4 överst i din första post.
AX+IX är inte samma som X(A+I)
jag insåg precis det, tack ändå 👍