... jag har ingen aning om vad jag gör med mina arcsin...
Efter detta ärligt tittel, kan ni hjälpa mig att lösa:
?
Första steg: göra sig av sin(x) i nämnare:
Steg 2: göra nåt vilt variabel byte: och när x går mot noll går nog y mot noll enligt mina svaga minne från matte 4 och när man tittar på en enhetscirkel.
Som ni ser jag har inte riktigt koll på vad jag gör, särskilt när man ersätter sin med arcsin. Funkar det?
ty vi har standardgränsvärdena och .
Alternativt:
Maclaurinutveckling kommer, efter standardutveckling av och , ge upphov till ett uttryck på följande form:
, där p(x) och q(x) är polynom som båda saknar konstant-term och därför går mot 0 då x går mot 0.
Rätta mig gärna om jag har fel, men jag tror det ska stämma.
Förstår inte hur sin(x) försvann i första steget. *Edit Alltså i Dajas lösningsförslag.
Om du känner till
är en rättfram substitution.
-----------------------------------------------------
Förövrigt ger l'Hospital

Ravenous skrev:ty vi har standardgränsvärdena och .
Tack!
Oooh det var smart med
Alternativt:
Maclaurinutveckling kommer, efter standardutveckling av och , ge upphov till ett uttryck på följande form:
, där p(x) och q(x) är polynom som båda saknar konstant-term och därför går mot 0 då x går mot 0.
Rätta mig gärna om jag har fel, men jag tror det ska stämma.
Det känner jag inte till. Än.
Guggle skrev:Förstår inte hur sin(x) försvann i första steget. *Edit Alltså i Dajas lösningsförslag.
Det blev ju ! Du gillade inte min trolleri :(! Med
Om du känner till
är en rättfram substitution.
-----------------------------------------------------
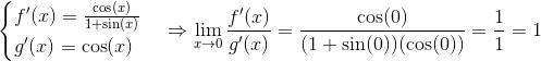
Förövrigt ger l'Hospital
Hmm jag kan inte derivera det till din L'Hôpitaleriet!
dajamanté skrev:Guggle skrev:Förstår inte hur sin(x) försvann i första steget. *Edit Alltså i Dajas lösningsförslag.
Det blev ju ! Du gillade inte min trolleri :(! Med
Mjaaa... Om borde inte då?
Hmm jag kan inte derivera det till din L'Hôpitaleriet!
Man ska derivera täljare och nämnare var för sig. Om gränsvärdet
existerar och vissa villkor är uppfyllda, t.e.x att f och g har kontinuerliga derivator och g nollskild i alla punkter utom a i en omgivning till a och att f och g båda går mot 0 (eller oändligheten). I vårt fall är punkten som ger "0/0" x=0 och vi får

Exakt vilka villkor som ska vara uppfyllda beror på vilken version av l'Hospital ni valt att bevisa.
Även om ni inte lärt er satsen kan du fortfarande i de flesta fall använda den för att kontrollräkna dina resultat då du har "0/0" eller "oändligheten" över "oändligheten" som en kvot mellan två funktioner, mkt bra att kunna på tentan!
Edit: Förtydligade så vi inte blandar ihop specialfallet med
Guggle skrev:dajamanté skrev:Guggle skrev:Förstår inte hur sin(x) försvann i första steget. *Edit Alltså i Dajas lösningsförslag.
Det blev ju ! Du gillade inte min trolleri :(! Med
Mjaaa... Om borde inte då?

Hmm jag kan inte derivera det till din L'Hôpitaleriet!
Man ska derivera täljare och nämnare var för sig. Om du söker gränsvärdet
Och vissa villkor är uppfyllda, t.e.x att f och g har kontinuerliga derivator samt att g är skild från noll i alla punkter utom a i en delvis halvöppen omgivning till a och att f och g båda går mot 0 (eller oändligheten) gäller (om gränsvärdet existerar) att
Exakt vilka villkor som ska vara uppfyllda beror på vilken version av l'Hospital ni valt att bevisa.
Även om ni inte lärt er satsen kan du fortfarande i de flesta fall använda den för att kontrollräkna dina resultat då du har "0/0" eller "oändligheten" över "oändligheten" som en kvot mellan två funktioner, mkt bra att kunna på tentan!
Aha, så menar du!
Vi har inte lärt oss l'hôpital, jag har lärt mig den på PA, bästa skolan in town. Men ok, nu förstår jag vad du menar, man behöver inte derivera hela uttrycket, bara bitar (gud vad praktiskt!)