Jag vill förstå betydelsen av detta geometriska talföljder
Detta är min uppgift.
Lös ekvationen x+2x+4x+8x+…+8192x=5461
Vad menas med 8192x=5461 varför finns det ett (=) tecken vad är det betyder. För att jag tänker att +8192x är ett element men jag förstår inte riktigt vad 5461 ska vara ?
En tolkning skulle kunna vara följande:
Du har 1 hög med x kg med sand, bredvid dig finns dubbelt så mycket, dvs 2 högar med x kg sand. Bredvid de högarna finns dubbelt så mycket igen dvs 4 kg med sand. Därefter 8, sen 16 och hela vägen upp till 8192 högar med x kg sand.
Summan av vikten hos alla dessa högar sand är 5461 kg. Hur mycket väger 1 hög med sand?
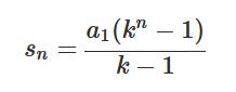
Ekvationens vänsterled är en geometrisk summa.
Termerna i VL är x+2x+4x+8x+16x+32x+64x+128x+... +8192x.
Kvoten mellan två tal = 2. exempelvis 8x/4x = 2
x är första termen, 2x är andra termen och så vidare. Vilken term blir då 8192x?
Använd sedan formeln för geometrisk summa:

Se mer i Matteboken:
https://www.matteboken.se/lektioner/matte-3/algebraiska-uttryck/geometrisk-summa#!/