Jämförelse av reduktionsfaktor hållfasthetslära


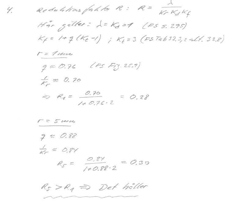
Hur kommer det sig att om R_5 > R_1 så drar man slutsatsen att det håller?
Jag tänker att om man vet att (amplitudspänningen*R_1 < Utmattningsgräns) så bör man behöva att (R_5<R_1) för att kunna garantera att detta gäller även för den större radien. Alltså resonerar jag att man behöver en "mindre" reduktionsfaktor eller samma för att kunna ge samma garanti. Jag misstänker att jag missförstått hur reduktionsfaktorer fungerar och hade uppskattat lite klargörande.
Mvh
Om någon ser detta i framtiden och var förvirrad som mig;
Reduktionsfaktorn avser hur mycket lägre utmattningsspänningen blir p.g.a diverse materialegenskaper.
Dvs i denna uppgift så har man att materialiet mer r=1mm ger att konstruktionen klara 28% av tabellerat värde.
Med r=5mm får man då att den ska klara 30% av tabellerat och då ger högre reduktionsfaktor att den klarar mer.