Jämn diffekvation
Hur ser man att en lösning till diffekvation ska vara jämn? Är inte alls med på vad jag ska kolla efter..


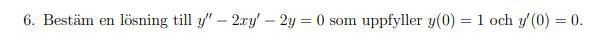
Hej,
Om man vet att ekvationen har en unik lösning och man visat att funktionerna och båda löser ekvationen så måste det gälla att för alla där ekvationen är definnierad. Här är varför för alla där ekvationen är definierad; om dessa utgör definitionsmängd till funktionen så ger alltså entydigheten att funktionen är jämn.
Jag är med på det där med entydighet, men hur ser du att z löser ekvationen? Jag försökte göra variabelbyte och får då z''+2xz'-2z=0, och det är ju en ny ekvation, som borde ha andra lösningar?
Ekvationen säger att , så om den även är definierad för så följer det att
.
Definieras får man därför och så att
Jaha, nu fattar jag. Tack!