Jämnvikt
För jämvikten CO(g) + H2O (g) ⇄ CO2(g) + H2(g) är jämviktskonstanten 0,10 vid 2000 K. Man blandar 0,5 mol av vardera CO, CO2, H2O och H2 i ett reaktionskärl med volymen 2,50 dm3. Blandningen upphettas till 2000 K.
a) Råder jämvikt i den givna blandningen? Om inte, åt vilket håll går reaktionen?
b) Hur stor substansmängd kommer att finnas av de olika ämnena när jämvikt ställt in sig?
OBS! Skriv upp jämviktsekvationen innan du sätter in värden samt visa hur du räknar ut ekvationen i steg!
Svar:
a)
b)
När jag sen sätter in svaret i den ursprungliga ekvationen så blir svaret inte 0,1... Vad gör jag för fel?
Du delar inte x med 2,5 - detta gäller på fyra ställen i ekvationen. Dessutom jar du rört ihop + och - för förändringen.
Fast eftersom antalet mol gas inte ändras vid reaktionen så kan man sätta in substansvärdena direkt - volymerna skulle ändå ta ut varandra.
Du har alltså i stället att .
EDIT: Det var bara i njämvikt du hade skrivit fel tecken, därefter var det korrekt igen.
Jättetack för snabbt svar!
Missat dela x/2,5 är jag med på. Hur menar du med rört ihop + och - för förändringen?
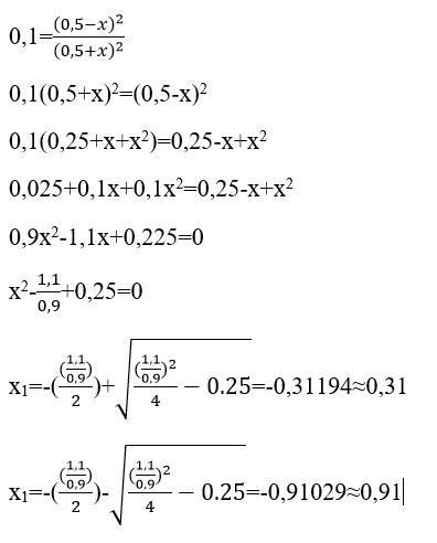
Såhär ser min ekvation ut nu:
När jag nu sätter in detta i ursprungliga ekvationen så blir svaret fortfarande inte 0,1... Vad gör jag nu för fel?
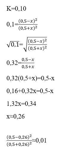
Börja med att dra roten ur båda sidor redan på första raden, så blir det mycket lättare!
Jag får helt enkelt inte rätt på det:


Om vi avrundar till att x = 0,25 mol får vi (0,25/0,75)2 = (1/3)2 = 1/9 = 0,1111111... så du måste räkna fel på sista raden på något sätt.