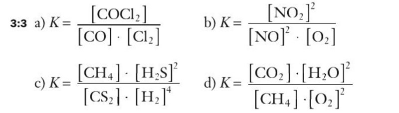
Jämnviktskonstanten
Frågan lyder : "Vilken eller vilka av jämvikterna i uppgift 3:3 har en jämviktskonstant som är enhetslös?
a) CO + CI2= COCI2
b) 2NO + O2= 2NO2
c) CS + 4 H2 = CH4 + 2H2S
d) CH4 + 2 02 = CO2 + 2H2O
Enligt facit är det uppgift d) men jag förstår inte riktigt varför
Alla ämnen har gas tillstånd och alla reaktioner är reversibla(dubbelpilar)
Börja med att teckna jämviktsekvationerna.
Precis.
Du vet ju att x2 = x * x
Då gäller att [NO2]2 = [NO2] * [NO2]
Vilken enhet har en koncentration? Vidare kan du räkna på enheterna för att se vad som kan ta ut varandra.
Aså, enheten är mol/dm3
Du menar då att när det fanns lika många faktorer i ekvationen så tar mol/dm 3 ut varandra, men inte i t.ex uppgift c), där det fanns 3 faktorer i nämnaren och 5 faktorer i täljaren så blir det inte enhetslös
Exakt. Det blir lättare att se och förstå om du ställer upp det. Det är viktigt att kunna motivera sin lösning vilket du gör om du ställer upp det med enheter.
Vad får uppgifterna för enheter?
