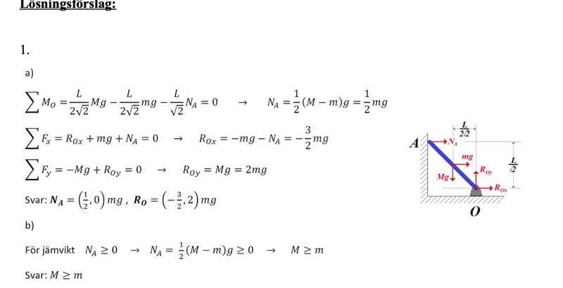
Jämvikt


På uppgift b) så förstår jag inte riktigt hur man ska tänka. För att ett system ska vara i jämvikt är väl att summan av totala kraften respektive summa av totala momentet =0. Hur resonerar dem att Na ska vara större eller lika med 0?
Ja, du har rätt att kraftsumman och momentsumman ska vara noll i jämvikt. Facits villkor att måste vara större eller lika med noll inses genom att så länge som det finns en normalkraft från väggen så vet man att balken stödjer sig mot väggen. Balken kan omöjligen vara i ojämvikt ifall existerar.
Däremot skulle det ju kunna finnas något läge då balken är i jämvikt även när den lämnat positionen lutandes mot väggen. Men det kan man se på momentsumman att det inte finns något ytterligare "nollställe" på den. Momentsumman kommer att bli mer och mer negativ om m blir större än M (samtidigt som är noll), dvs det finns inget ytterligare jämviktsläge när väl balken lämnat väggen.