3
svar
164
visningar
Jämvikt
Hejsan!
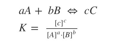
kan någon hjälpa med denna fråga, För följande jämviktsreaktion, ange enheten på jämviktskonstanten K. 
Hur ser uttrycket för jämviktskonstanten ut för denna ekvation?
Smaragdalena skrev:Hur ser uttrycket för jämviktskonstanten ut för denna ekvation?

Inte i allmänhet, utan för just den här jämviktsreaktionen!