1
svar
131
visningar
villsovaa behöver inte mer hjälp
Jämvikter
Hej!
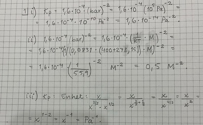
Ska lösa iii) i följande uppgift:

Får enheten för Kp i den nya reaktionen till Pa^-1, men jag vet inte riktigt hur jag ska fortsätta! Så här har jag gjort:

villsovaa skrev:Hej!
Ska lösa iii) i följande uppgift:
Får enheten för Kp i den nya reaktionen till Pa^-1, men jag vet inte riktigt hur jag ska fortsätta! Så här har jag gjort:
Börja med att skriva uttrycket för jämviktskonstanten.