3
svar
86
visningar
Micimacko behöver inte mer hjälp
Jättefel med konstanter
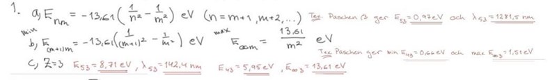
Håller på med den här uppgiften, och lyckas inte få fram 13,61 som står i facit. Men jag tycker att jag har skrivit av alla siffror från uppgiften rätt??




Har du satt hela nämnaren inom parentes?
Notera att formeln ger Joule, men de frågar efter eV. Du behöver alltså göra en enhetskonvertering.
WolframAlpha är också toppen för såna här kontroller.
Tack!