Jobbig Trig Ekvation

De här är min ansats.

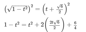
Du använder kvadreringsregeln fel: (a-b)2 är inte a2-b2. Så raden 1 - t2 -t2 = 6/4 stämmer inte.
Var andvände jag den fel ?
Men, om jag tar kvadreringregeln ovanför rottecknet borde ju den försvinna ?
Fundera på hur du kom från rad 5 till rad 6.
Jag föreslår att du går från rad 5 till
först.
Laguna skrev:Fundera på hur du kom från rad 5 till rad 6.
Jag föreslår att du går från rad 5 till
först.
Vad gör det för skillnad ? Likheten är ju ändå detsamma
ok så vi har då :
Det blir en 2:a för mycket i högerledet i uträkningen:

Högerledet blir:
Samla ihop termerna för , var för sig i vänsterledet, för att få fram t. Och senare x.
sen är det väl pq-formeln alternativt kan jag väl använda derivatan:s nollställe
Arup skrev:Laguna skrev:Fundera på hur du kom från rad 5 till rad 6.
Jag föreslår att du går från rad 5 till
först.
Vad gör det för skillnad ? Likheten är ju ändå detsamma
Skillnaden är att om du fortsätter från rad 5 och bara kvadrerar så får du fortfarande en kvadratrot i vänsterledet.
Beroende på vilken del av kursen den här uppgiften kommer ifrån skulle man kunna tro att det också handlar om formlerna för summa och skillnad av argument.
En sådan formel är sin(a-b) = sin a cos b -sin b cos a
Här har vi att sin a -cos a = sqr 6/2
om vi nu sätter sin b =cos b =1/sqr2 för b=pi/4 (= 45 grader) och multiplicerar in i alla termer
så får vi
sin (x-pi/4) = = sin (pi/3 +n2 pi) eller sin (2pi/3 +n 2 pi)
Men som sagt, det kanske handlar om andragradsekvationer.
Jag tror också det är bäst (och meningen) att skriva om sin(x) - cos(x) till Asin(x+B).
Men att göra som trådskaparen leder säkert också till målet.
Hur skriver jag om
till
Arup skrev:Hur skriver jag om till
Se Avsnitt "1.3 Trigonometriska funktioner", del "Kurvan y = a sin x + b cos x" på sid 51--53 i din kursbok (Matematik 5000+, kurs 4)
Menar du hjälp vinkel metoden ?
Detta är en formel du kan använda. Vad är och här? Vad blir och ?
