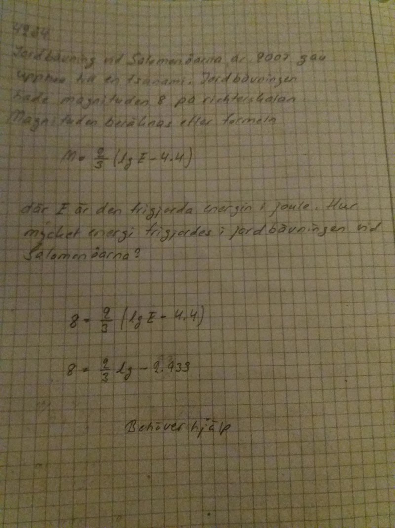
Du har börjat bra men sedan har du tappat bort E när du multiplicerar in 2/3 i parentesen (blåmarkerat).
Dessutom inför du ett närmevärde till helt i onödan (understruket).
Om du avrundar till 2,933 på det sättet får du inte låta likhetstecknet vara kvar utan du måste då byta ut det bot ett ungefär lika med-tecken.

Fortsätt istället med vanlig ekvationslösning härifrån utan att införa närmevärde:
Hej Päivi.
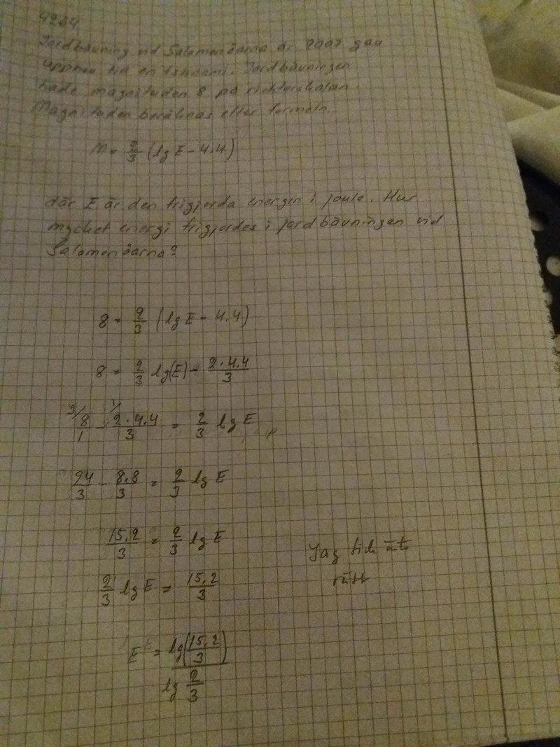
Du har gjort ett slarvfel. Du har adderat termen till högerledet men subtraherat den från vänsterledet (inringat i rött).
Jag vill återigen starkt rekommendera dig att sluta använda tekniken "flytta över" och istället göra som man ska, nämligen att addera (eller subtrahera) på bägge sidor.

Sedan gör du fel på slutet när du ska ta fram ett uttryck för E (överkryssat med rött).

För att bli av med tiologaritmen i uttrycket lg(E) så kan du använda att . Du ska alltså se till att få lg(E) ensamt på ena sidan och sedan ta 10 upphöjt till båda sidor.
Gör alltså på liknande sätt som jag visar i följande exempel (jag har här tagit värden som inte har med din uppgift att göra):
Använd sambandet i vänsterledet:
Klart!
Gör nu så på din korrigerade uträkning.
Vad gör jag med 8an?
Päivi skrev :Vad gör jag med 8an?
Börja om med ekvationen.
Rätta slarvfelet med termen i VL.
Visa dina uträkningar.
Vi har siffra 8 andra sidan av likhets tecknet. Ska man inte flytta de övriga också dit?
Päivi skrev :Vi har siffra 8 andra sidan av likhets tecknet. Ska man inte flytta de övriga också dit?
Jo, men du ska göra det på rätt sätt, inte som du gjorde tidigare att du adderade en term till höger och subtraherade samma term till vänster.
Om du tycker att det är besvärligt med lg(E) så kan du till att börja med kalla denna term för x (dvs substituera x = lg(E)).
Då har du den enkla ekvationen att lösa. Den löser du lätt.
När du sedan väl har x ensamt på ena sidan av likhetstecknet så byter du (substituerar) tillbaka från x till lg(E) och tar sedan för att "bli av med" tiologaritmen i termen lg(10).
Du har ekvationen . Börja med att multiplicera båda led med 1,5, så att du bara har kvar parentesen i HL. Addera sedan 4,4 på båda sidor. Då har du lg(E) ensamt i HL. Vet du hur du skall fortsätta då?
Det här var besvärlig sak.
Päivi skrev :Det här var besvärlig sak.
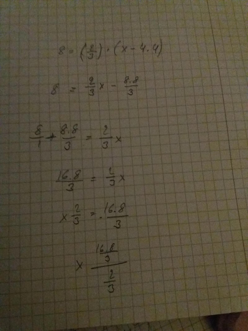
På vilket sätt är ekvationen 8 = (2/3)*(x - 4,4) besvärlig?
Jag ska visa kort.
Jag får inte det bli rätt.
Slarvfel igen Päivi.
Du har inte gjort liknämnigt innan du summerade termerna i vänsterledet (rödmarkerat)

Vart har logaritmen tagit vägen?
Varför börjar du inte med att multiplicera båda led med 1,5? Det blir mycket lättare beräkningar då.
Smaragdalena skrev :Vart har logaritmen tagit vägen?
Varför börjar du inte med att multiplicera båda led med 1,5? Det blir mycket lättare beräkningar då.
Det är mitt fel Smaragdalena. Det var jag som föreslog att Päivi skulle substituera lg(E) mot x för att förenkla ekvationen.
Varifrån kommer 1.5?
Päivi skrev :
Nej nu är det helt tokigt Päivi.
Det blir inte 16,8/3 i vänsterledet och du ska inte logaritmera alltihop.
Läs mina kommentarer igen i lugn och ro.
Varifrån kommer 1.5?
Yngve skrev :Smaragdalena skrev :Vart har logaritmen tagit vägen?
Varför börjar du inte med att multiplicera båda led med 1,5? Det blir mycket lättare beräkningar då.
Det är mitt fel Smaragdalena. Det var jag som föreslog att Päivi skulle substituera lg(E) mot x för att förenkla ekvationen.
Det inlägget hade jag missat. Det blir lätt så när vi skriver samtidigt!
@Smaragdalena, jag tror att vi bara förvirrar Päivi ännu mer om vi försöker hjälpa till båda två.
Fortsätt du.
Nej, jag försvinner härifrån för i kväll nu. God natt!
Vänta Yngve!
Jag ska titta på det här, om jag har missat något.
Päivi, att lösa ut lg(E) ur ekvationen klarar du med höger hand bakom ryggen vilken dag som helst, men kanske inte just nu. Därför gör jag det åt dig:
Vi kallar nu för bara för att inte bli förvirrade:
Multiplicera med 3 på båda sidor:
Addera 8,8 på båda sidor:
Dividera med 2 på bägge sidor:
Byt nu tillbaka från till :
Så. Nu har du en ekvation för E.
Nu kommer vi till det viktiga: Hur ska du "bli av med" lg?
Eftersom så kan du "bli av med" lg genom att ta 10 upphöjt till lg(E).
Men då måste du såklart även göra likadant med högerledet:
Om så gäller att .
Alltså gör vi på följande sätt:
Använd sambandet på vänsterledet:
Svar: E är ungefär lika med Joule
Nu hänger jag med det hela, Yngve.
Jag tänkte inte på att jag skulle ha allt till samma nämnare. Där satte krysset. Jag var väl lite för mycket inne på logaritmer tankarna.
Tusen tack till Dig Yngve att du gjorde bästa från Dig!
Skulle jag ha kommit på det här, skulle det inte ha varit något problem. Tankarna var helt enkelt inte rätt den här gången.




