1
svar
184
visningar
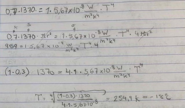
Jordens jämviktstemperatur
Din uppgift är att bestämma "emissiviteten" för olika grader av växthuseffekten enligt modellen ovan och sedan bestämma den resulterande jämviktstemperaturen under tre tänkta förhållanden.
1 Ingen växthuseffekt (emissiviteten =1)
2 Växthus lager som ger den nuvarande emissiviteten =0,612.För detta fall bestäm även den rådande graden av växthuseffekt i vår enkla modell.
3 Undersök vad som kan hända med temperaturen på jordens yta om modellens atmosfär tillåter flera lager som starkt absorberar infraröd strålning.
så här har jag svarat , har jag rätt?
1 
2
3
modellen man ska utgå efter :