2
svar
199
visningar
kalkyl gränsvärde
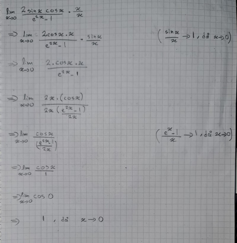
Hur räknar man denna uppgift? Vet inte hur jag ska börja?
Hej!
Jag skulle föreslå att först skriva om , och sen använda antingen Maclaurinutveckling eller l'Hôpitals.
Vi har samma inl, Har du gjort uppgift 4 på inl?
?