Kan ekvationen endast ha en rot?
Jag ska undersöka om ekvationen
kan ha endast en rot, och i så fall värdet av a och ekvationens lösning. Jag vet inte riktigt hur jag ska börja, men jag tänker att man borde kunna använda sig av pq-formeln på något sätt eftersom en andragradsekvation bara får en lösning om
Ja.
Vad är p och q i ditt fall?
I fallet "endast en rot" till en andragradsekvation är det alltid fråga om en s k dubbelrot, dvs två lika rötter.
Dr. G skrev:Ja.
Vad är p och q i ditt fall?
Om man förutsätter att ax-2a=0 får jag p till 11 (så (p/2)² blir 30,25) och q till -10, men om jag kan också tänka att p = 11-a och q = -10-2a om man flyttar över uttrycket till vänsterledet
djungelskog skrev:
Om man förutsätter att ax-2a=0 får jag p till 11 (så (p/2)² blir 30,25) och q till -10,
Nej, det kan du inte förutsätta.
men om jag kan också tänka att p = 11-a och q = -10-2a om man flyttar över uttrycket till vänsterledet
Ja, rätt sätt är att samla alla termer på ena sidan av likhetstecknet.
Du får då att p = 11-a och q = 10+2a.
Observera att q är konstanttermen, inte "minus konstanttermen" som du har skrivit.
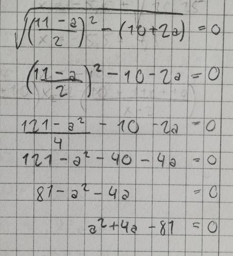
Okej. Jag testade att sätta upp och lösa ekvationen
eftersom det borde ge mig vad a ska vara för en dubbelrot, men jag fick inte fram rätt svar. Jag antar att det var fel metod?
Ekvationen är rätt.
Visa steg för steg hur du löser ut a ur den.

Sen använde jag pq-formeln igen

(11-a)2 är inte lika med 121-a2.
Använd kvadreringsregeln från din formelsamling.
Det vet jag ju egentligen... men det måste fortfarande vara så att jag gör fel någonstans för jag får inte fram rätt svar den här gången heller


Din metod är rätt, men du räknar fel.
På rad 2: 4•2a är inte lika med 4a
Nej det är sant
Nu blev det äntligen rätt :)
Bra.
