Kan inte skriva en funktion till uppgiften
Enbart punkt 1

Jag vill komma på en generell formel för att beräkna investeringar och räntesatsen men kommer inte på en, den de använder i facit förstår jag inte riktigt. Jag behöver alltså en förklaring till varför de använder.

Gör en tabell därdu skriver hur mycket var och en har
- i början av år 2013 (väldigt enkelt, inte beräkningar behövs)
- i slutet av år 2013, när de har fått ränta
- i början av år 2014, när de har gjort sina insättninger
- i slutet av år 2014, när de har fått ränta
- i början av år 2015, när de har gjort sina insättninger
Skriv det som formler, inte bara som uträknade siffror. Efter några beräkninar tror jag att du ser hur facit har kommit fram till sina formler. Om inte - visa hur långt du har kommit och fråga igen.
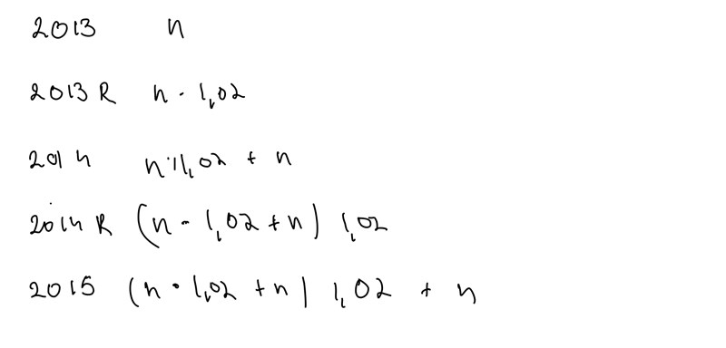
Smaragdalena skrev:Gör en tabell därdu skriver hur mycket var och en har
- i början av år 2013 (väldigt enkelt, inte beräkningar behövs)
- i slutet av år 2013, när de har fått ränta
- i början av år 2014, när de har gjort sina insättninger
- i slutet av år 2014, när de har fått ränta
- i början av år 2015, när de har gjort sina insättninger
Skriv det som formler, inte bara som uträknade siffror. Efter några beräkninar tror jag att du ser hur facit har kommit fram till sina formler. Om inte - visa hur långt du har kommit och fråga igen.
Okej, jag tror jag har gjort som du sagt, men förstår fortfarande inte hur man kommer fram till en formel. 
Om du multiplicerar in faktorn 1,02 i parentesen får du (för 2015) n.1,022+n.1,02+n eller n.1,022+n.1,021+n.1,020. Ser du att det är en geometrisk summa? Vilken formel använder man för att beräkna en geometrisk summa?
Tack så mycket, jag förstår nu. Geometrisk summa var ganska länge sedan man såg det.