9 svar
181 visningar
starboy behöver inte mer hjälp
starboy 172
Postad: 31 dec 2022 11:07

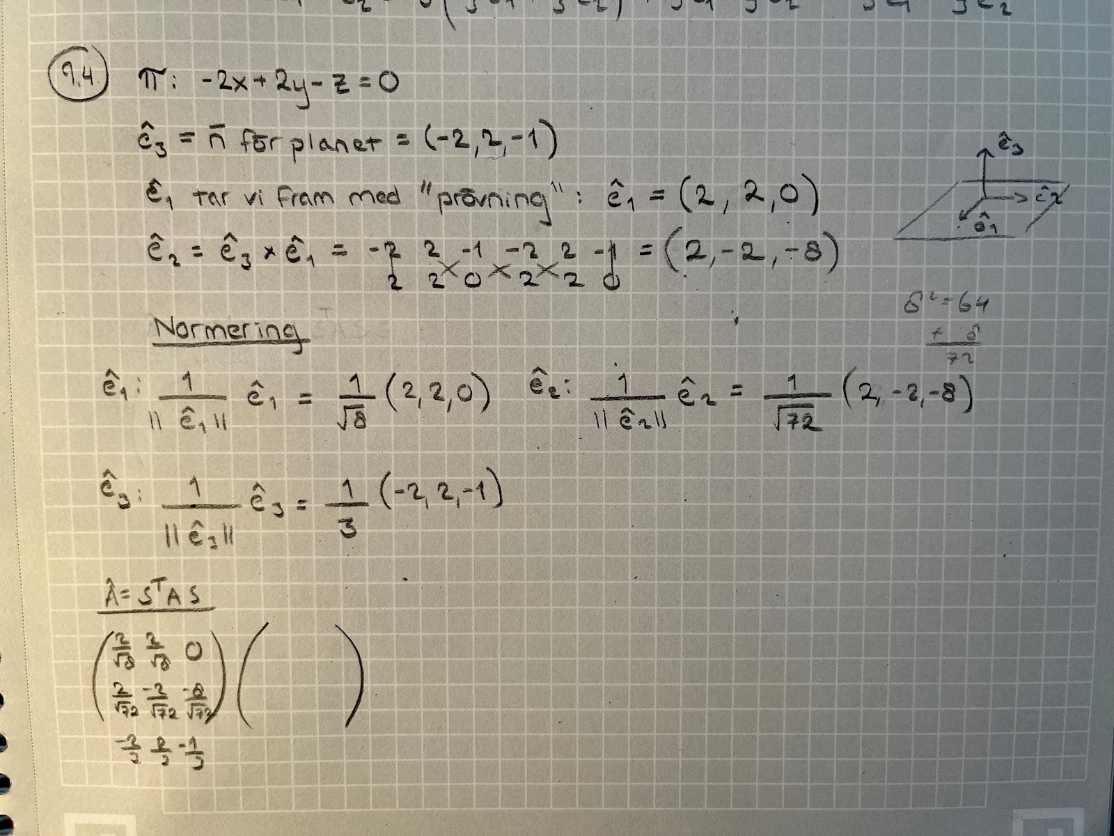
Kan jag ta fram den nya avbildningsmatrisen?

Jag jobbar med uppgiften ni ser här nedan och tror jag lyckats lösa a-uppgiften (jag har inte fått samma bas ê1, ê2 och ê3 som i facit, men kraven för att det ska vara en ortonormerad bas stämmer ändå vad jag kan se).

Där jag fastnar är på b-uppgiften. Behöver jag ta reda på vad  är (som ni kan se jag påbörjat) för att lösa denna uppgift, eller går det att räkna ut/resonera fram på annat vis? Jag vet ju inte vad avbildningsmatrisen A är för den givna basen, så jag har svårt att se hur jag ska kunna beräkna Â.

henrikus 679
Postad: 31 dec 2022 11:50

Tror det blir en väldigt enkel ekvation.

För tydlighets skull kan man ju kalla koordinaterna i den nya basen u, v, w.

En av dessa borde vara 0.

starboy 172
Postad: 31 dec 2022 12:39
henrikus skrev:

Tror det blir en väldigt enkel ekvation.

För tydlighets skull kan man ju kalla koordinaterna i den nya basen u, v, w.

En av dessa borde vara 0.

Okej, skulle du vilja ge mig någon mer ledtråd hur jag ska börja uträkningen? Känner mig fortfarande ganska vilsen.

henrikus 679
Postad: 31 dec 2022 12:49

Om du tittar på bilden du har ritat så ser man tydligt vad ekvationen måste vara. Behövs ingen matris ...

starboy 172
Postad: 31 dec 2022 14:20
henrikus skrev:

Om du tittar på bilden du har ritat så ser man tydligt vad ekvationen måste vara. Behövs ingen matris ...

Okej, jag ser på bilden att i min nya ortonormerade bas är ê1 och ê2 parallella med planet, medan ê3 är ortogonal mot planet.

Jag ser i facit att svaret ska vara: z = 0, men jag greppar inte riktigt hur. Utgör min nya bas xy-planet? För isåfall borde väl svaret bli (x,y,z) = (s, t, 0) ?

PATENTERAMERA 8025
Postad: 31 dec 2022 15:04 Redigerad: 31 dec 2022 15:05

Det är ju bara två olika sätt att säga samma sak.

Man kan även tänka så här.

Ett plan (genom origo) kan skrivas nx = 0. Där n är en normal till planet. Vi noterar att e^3 är en normal till vårt plan. I den nya basen kan ortsvektorn x skrivas

x=x^e^1+y^e^2+z^e^3.

Planets ekvation blir då e^3x^e^1+y^e^2+z^e^3=0, vilket är ekvivalent med z^=0.

starboy 172
Postad: 31 dec 2022 15:09
PATENTERAMERA skrev:

Det är ju bara två olika sätt att säga samma sak.

Man kan även tänka så här.

Ett plan (genom origo) kan skrivas nx = 0. Där n är en normal till planet. Vi noterar att e^3 är en normal till vårt plan. I den nya basen kan ortsvektorn x skrivas

x=x^e^1+y^e^2+z^e^3.

Planets ekvation blir då e^3x^e^1+y^e^2+z^e^3=0, vilket är ekvivalent med z^=0.

Jag är ledsen, men jag förstår inte riktigt hur du menar. Varför kan vi skriva ett plan som skalärprodukten mellan två vektorer? Jag är med på att ê3 är en normal till vårt plan, men förstår inte vad ortsvektorn x är för något. Kan heller inte riktigt förstå hur vi med ekvationen på sista raden kan sen dra slutsatsen att det är ekvivalent med att z^ = 0

D4NIEL 3539
Postad: 31 dec 2022 15:47 Redigerad: 31 dec 2022 16:01

Ett tredje "samma"-sätt att lösa uppgiften är att transformera den gamla normalvektorn till det nya koordinatsystemet.

Du kan transformera en vektor i det gamla systemet till det nya systemet genom operationen

x=Tx'x'=T-1x=TTxx=Tx^'\implies x^'=T^{-1}x=T^Tx

I det gamla koordinatsystemet är normalvektorn n=(-2,2,-1)n=(-2,2,-1)

I det nya koordinatsystemet blir alltså vektorn n'=e^1,e^2,e^3Tn=(0,0,3)n^\prime=\left[\hat{e}_1,\hat{e}_2, \hat{e}_3\right]^Tn=(0,0,3)

Ekvationen för planet i det nya systemet 3z'=03z^\prime=0

PATENTERAMERA 8025
Postad: 31 dec 2022 16:11
starboy skrev:
PATENTERAMERA skrev:

Det är ju bara två olika sätt att säga samma sak.

Man kan även tänka så här.

Ett plan (genom origo) kan skrivas nx = 0. Där n är en normal till planet. Vi noterar att e^3 är en normal till vårt plan. I den nya basen kan ortsvektorn x skrivas

x=x^e^1+y^e^2+z^e^3.

Planets ekvation blir då e^3x^e^1+y^e^2+z^e^3=0, vilket är ekvivalent med z^=0.

Jag är ledsen, men jag förstår inte riktigt hur du menar. Varför kan vi skriva ett plan som skalärprodukten mellan två vektorer? Jag är med på att ê3 är en normal till vårt plan, men förstår inte vad ortsvektorn x är för något. Kan heller inte riktigt förstå hur vi med ekvationen på sista raden kan sen dra slutsatsen att det är ekvivalent med att z^ = 0

Ortsvektorn är en vektor som går från origo till en allmän punkt P. Om punkten P ligger i planet med normal n så är ortsvektorn ortogonal mot normalen. Detta kan skrivas som att skalärprodukten mellan normal och ortsvektor skall vara noll.

Se nedan. P är punkt i planet och ortsvektorn till P är ortogonal mot normalen. P’ är en punkt som inte ligger i planet och ortsvektorn till P’ är inte ortogonal mot normalen.

starboy 172
Postad: 2 jan 2023 11:28
PATENTERAMERA skrev:
starboy skrev:
PATENTERAMERA skrev:

Det är ju bara två olika sätt att säga samma sak.

Man kan även tänka så här.

Ett plan (genom origo) kan skrivas nx = 0. Där n är en normal till planet. Vi noterar att e^3 är en normal till vårt plan. I den nya basen kan ortsvektorn x skrivas

x=x^e^1+y^e^2+z^e^3.

Planets ekvation blir då e^3x^e^1+y^e^2+z^e^3=0, vilket är ekvivalent med z^=0.

Jag är ledsen, men jag förstår inte riktigt hur du menar. Varför kan vi skriva ett plan som skalärprodukten mellan två vektorer? Jag är med på att ê3 är en normal till vårt plan, men förstår inte vad ortsvektorn x är för något. Kan heller inte riktigt förstå hur vi med ekvationen på sista raden kan sen dra slutsatsen att det är ekvivalent med att z^ = 0

Ortsvektorn är en vektor som går från origo till en allmän punkt P. Om punkten P ligger i planet med normal n så är ortsvektorn ortogonal mot normalen. Detta kan skrivas som att skalärprodukten mellan normal och ortsvektor skall vara noll.

Se nedan. P är punkt i planet och ortsvektorn till P är ortogonal mot normalen. P’ är en punkt som inte ligger i planet och ortsvektorn till P’ är inte ortogonal mot normalen.

Tack så mycket!

Svara
Close