Kan man bestämma

Punkten (1,4) = (x,y)
Så sätt in 1 istf x och sätt in 4 istf y i de båda ekvationerna.
Prova sedan att lösa detta ekvationssytem.
Nu förstår jag inte riktigt vad du menar. Där det står y= t^ 2x-5
menar du att jag ska ha 4, där det står y. Där det står x ska jag ha 1.
Kan du förklara mera om det här.
Ja, så menar jag. Om punkten (1,4) ligger på en linje så ska du ju kunna sätta in 1 istf x och 4 istf x.
Gör det på den högra ekvationen först, enklast där.
Titta här.
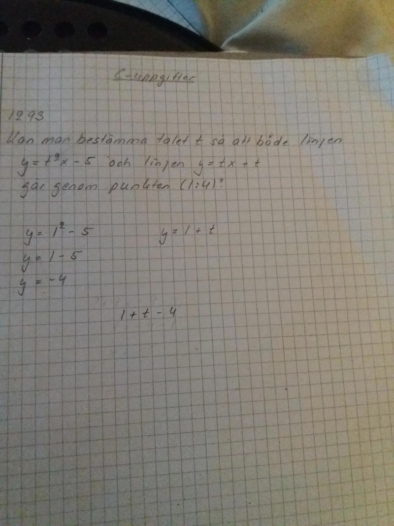
y= t^2x-5
4y= 1t-5
-------
y= tx+ t
4y= 1+ t
Något sådant?
Du ska sätta in 4 i stället för Y så Y kommer ju inte att finnas kvar.
Y = t X + t
Byt ut....
4 = t 1 + t
Räkna ut vad t blir...
Bra.
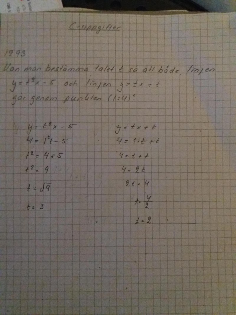
Då har du visat att för den vänstra ekvationen måste t=3 för att linjen ska gå genom (1,4)
Och i den högra måste t=2 för att linjen ska gå genom (1,4)
Alltså olika värden på t.
Och uppgiften frågade ju "Kan man bestämma talet t så att både...... osv"
Det går alltså inte med samma värde på t
y= t^2x-5
kan jag stoppa så här?
y= 9x-5?
Jag skulle svara såhär:
Man kan inte bestämma talet t så att båda linjerna går genom punkten (1:4)
Facit säger så här.
Ja, då t = -3 går båda linjerna genom punkten (1:4)
Päivi skrev :Facit säger så här.
Ja, då t = -3 går båda linjerna genom punkten (1:4)
Kan du ha skrivit av uppgiften fel? Skall den andra ekvationen vara y = tx-t?
Bra Magdalena!
Det är ju hemskt av mig att jag kan vara sådan här.
y= t^2 x-5 och den andra linjen y= 7x + t
går genom (1:4)
ska fotografera så får du se också vad det står.
Hej Päivi. Jag skulle göra så här:
Vi har två samband:
y = t^2x - 5
y = tx + t
Frågan gäller om det finns något värde på t som gör att båda sambanden är uppfyllda för punkten (x; y) = (1; 4).
Om det första sambandet ska vara uppfyllt för punkten (1; 4) så måste det gälla att 4 = t^2*1 - 5. Det betyder att t^2 = 9, vilket innebär att t = plusminus 3. Den första linjen går alltså genom punkten (1; 4) endast om t = -3 eller om t = 3
Om det andra sambandet ska vara uppfyllt för punkten (1; 4) så måste det gälla att 4 = t*1 + t. Det betyder att 4 = 2t, dvs att t = 4/2 = 2. Den andra linjen går alltså genom punkten (1; 4) endast om t = 2.
Det finns alltså inget värde på t som gör att båda linjerna går genom punkten (1; 4).
Päivi skrev :Facit säger så här.
Ja, då t = -3 går båda linjerna genom punkten (1:4)
Då står det antingen fel i facit eller så är uppgiften felformulerad.
Päivi skrev :
OK så du har alltså skrivit av uppgiften fel.
Men nu när du har fått en massa bra tips kanske du kan lösa uppgiften själv?
Jo, då det blir -3 på båda, Yngve!
Den har jag redan löst.
y= 7x+1
4= 7* 1+ t
4-7.= t
-3= t
Här har du det, Yngve!
Päivi skrev :Den har jag redan löst.
y= 7x+1
4= 7* 1+ t
4-7.= t
-3= t
Här har du det, Yngve!
OK bra.
Vad var det som gjorde att du fastnade på uppgiften från början Päivi?
Det var jag som krånglade till med det. Tyckte att det var konstigt att det stod
y= tx + t
Jag förstod att x skulle vara 1
Den andra linjen såg lite lustig ut. Visst man kan höja. 1^2 blir 1.
4 skulle man kunna ersätta med y. Jag var osäker.

