3
svar
128
visningar
Kan någon kolla genom min räkning? (Jämvikt)
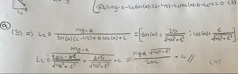
När man löser ut vad L2 blir så ska den sättas till L2=mg för att sendan lösa ut vad a/c blir. Stämmer denna uträkning av L2? Jag får inte ihop det sen när jag sätter L2=mg då jag inte kan lösa ut a/c? Kan det vara så att jag fick fel L2?

Ja, det har blivit fel när du multiplicerade med .
Kontrollera den uträkningen.
Visa gärna hela uppgiften och dina tidigare beräkningar om du vill ha hjälp att kontrollera även det övriga (a, b, c, L, l och ), samt ekvationerna.
Det är inte så tydligt i bilden men det ska vara istället.
Nu tror jag att beräkningen stämmer.

OK då ser det rätt ut.