Kan nån rätta? (Förenkling)
Mycket fel :(

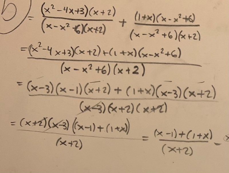
Hur är det med faktoriseringen av ? :)
(X-3)(X+2) väl??
Nja, vilket tecken har -termen? :)
Minus
jag trodde att man kunde använda pq-formeln på x-(x^2) +6 ???
Vad får du när du multiplicerar ihop (x-3)(x+2)?
Du kan använda pq-formeln men du får först bryta ut minustecknet så x^2 är positiv annars kan du inte använda pq-formeln.
Vad är det du gör på första raden? Förkorta bort faktorn x+2, den finns ju i både täljare och nämnare.
Du tänker helt rätt med att använda på, men du glömmer att du måste byta tecken på alla termer i -x^2+x + 6. Dvs det kommer bli x^2 -x-6 . Man får ej ha minus tecken framför x^2 termen om man ska göra pq, precis som man inte får ha en konstant före x^2 termen tex 2x^2 då måste du dela allt på två så att det blir 1x^2