0
svar
140
visningar
Kapad cylinder
Hej!
Jag försöker bestämma tyngdpunktskoordinaterna för en kapad cylinder i tre dimensioner.

(y-axeln i bilden är riktad rakt ut ur bilden)
Jag ska bestämma tyngdpunkten i x-led och i z-led (då =0).
.jpg?width=800&upscale=false)

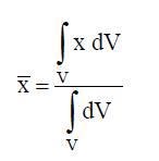
Jag har bestämt som blev:
Vilket verkar stämma.
Men jag vet inte riktigt hur jag ska ställa upp .
Mitt försök:
Men det verkar inte stämma.
Hoppas att någon kan hjälpa mig!!
Mvh KriAno