Kapitel 5 rörelsemängd och impuls
Uppgift 575. Har inte förstått hur man ska göra. 
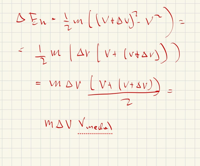
Kan skriva ut lite saker.
Kan du pussla ihop det nu? Även om jag fuskar lite med differentialerna.
Man kanske dock bara ska använda att och sen anta att arbetet bara sker av rörelse på samma höjd.
MrPotatohead skrev:Kan skriva ut lite saker.
Kan du pussla ihop det nu? Även om jag fuskar lite med differentialerna.
Man kanske dock bara ska använda att och sen anta att arbetet bara sker av rörelse på samma höjd.
jag förstår lite men kan inte komma fram till svaret
Tänkte fel i första. Man behövde använda integraler ändå. Då vet jag inte om tanken är att
där när vi antar att den potentiella energin är konstant.
MrPotatohead skrev:Tänkte fel i första. Man behövde använda integraler ändå. Då vet jag inte om tanken är att
där när vi antar att den potentiella energin är konstant.
detta stod i facit: 
Formeln stämmer inte generellt.
Tänk tex på en partikel som rör sig med konstant fart i en cirkulär bana. Den kinetiska energin är då konstant så blir noll men kraften är inte noll.
Judy_ skrev:MrPotatohead skrev:Tänkte fel i första. Man behövde använda integraler ändå. Då vet jag inte om tanken är att
där när vi antar att den potentiella energin är konstant.
detta stod i facit:
Okej, då hade jag rätt i min första ledning. Bara att jag inte kunde den omskrivningen Patenteramera skrev ovan.
Hur gick det med denna? Hängde du med på svaren?
