0
svar
128
visningar
Zeptuz behöver inte mer hjälp
Karnaughdiagram med gray code
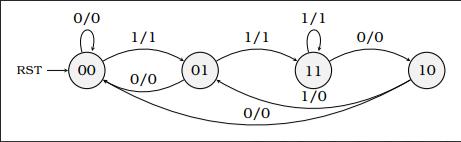
hej, håller på att översätta tillståndsgrafen på tillståndstabellen med gray code:
och får det till: 
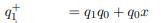
När jag försöker räkna ut exempelvis q1+ får jag:
men enligt facit ska jag kunna komma fram till det här: 
Min fråga är väl egentligen om man skriver upp karnaughdiagram annorlunda när man har gjort tillståndstabellen med graycode eller om jag har gjort något annat fel? Hur kan jag få det så minimerat? Är ordningen annorlunda med graycode?