2 svar
209 visningar
mohadseh behöver inte mer hjälp
mohadseh 2 – Fd. Medlem
Postad: 10 nov 2021 00:17

kastar ett mynt 5gånger

frågan lyder: Vi kastar ett välbalanserat mynt 5 gånger och är intresserade av två specifika händelser; att första kastet är en krona samt att alla kast är krona.

a)     Definiera händelser och rita ett Venndiagram.

P(B)= krona i alla kast

P(A)=krona i första kast

 

b)     Bestäm sannolikheten att alla kast är krona givet att första kastet var en krona.

jag vet att : 2^5  = 32 möjliga fall

0,5 * 0,5 * 0,5 * 0,5 * 0,5 = 0,03125 blir sannolikheten eller?

c)     Använd Bayes sats för att bestämma sannolikheten att första kastet var en krona, givet att alla kast är krona.

denna kan jag inte alls, behöver vägledning tack

Bedinsis 3362
Postad: 10 nov 2021 08:24
mohadseh skrev:

frågan lyder: Vi kastar ett välbalanserat mynt 5 gånger och är intresserade av två specifika händelser; att första kastet är en krona samt att alla kast är krona.

b)     Bestäm sannolikheten att alla kast är krona givet att första kastet var en krona.

jag vet att : 2^5  = 32 möjliga fall

0,5 * 0,5 * 0,5 * 0,5 * 0,5 = 0,03125 blir sannolikheten eller?

Om du vet att första kastet är en krona är det inga femtio procents sannolikhet att det är en krona. Det borde vara:

1 * 0,5 * 0,5 * 0,5 * 0,5

mohadseh 2 – Fd. Medlem
Postad: 10 nov 2021 08:59

ja så klart! 

så då blir sannolikheten för att alla kast är krona givet att första kastet var en krona 0,0625 dvs P(A)=0,0625 eller? 

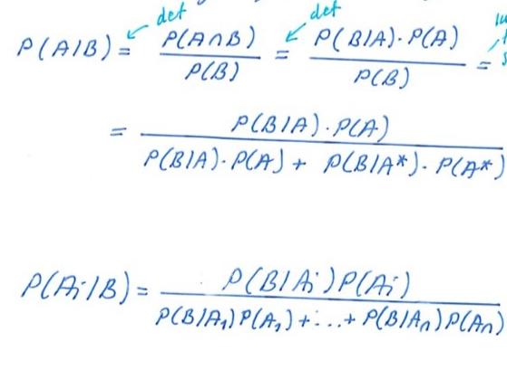
Bayes sats har den här formel (nedan)  och det jag inte förstår är hur jag ska använda siffror i formel då jag inte vet P(B)? 

    

       jag har räknat på när man kastar mynt två gånger och då har det varit lätt då P(BIA) = 1/2 sannolikheten för att få exakt en krona givet att första kastet var en krona. Men just att det nu är 5 kast blir jag förvirrad. 

Svara
Close