Kaströrelse
Hej allihopa!
Behöver hjälp med en fråga:
Person A, B och C befinner sig på en platå som har höjden 30 m över omgivningen. De tre vännerna bestämmer sig för att experimentera lite, då de inte klarar av att njuta av omgivningen. De vill undersöka vem som kan kasta järnkula längst. Alla tre kastar iväg sin kula med hastigheten vo = 25 m/s. Däremot väljer de olika elevationsvinklar. Person A kastar horisontellt,person B väjer 30° mot horisontalplanet och person C 45° mot horisontalplanet.
En av de tre vännerna är missnöjd med att inte ha kastat längst. Hen menar att om de stått på ett tåg som rört sig med hastigheten 25 m/s vinkelrätt mot deras kastriktning hade resultatet blivit annorlunda.
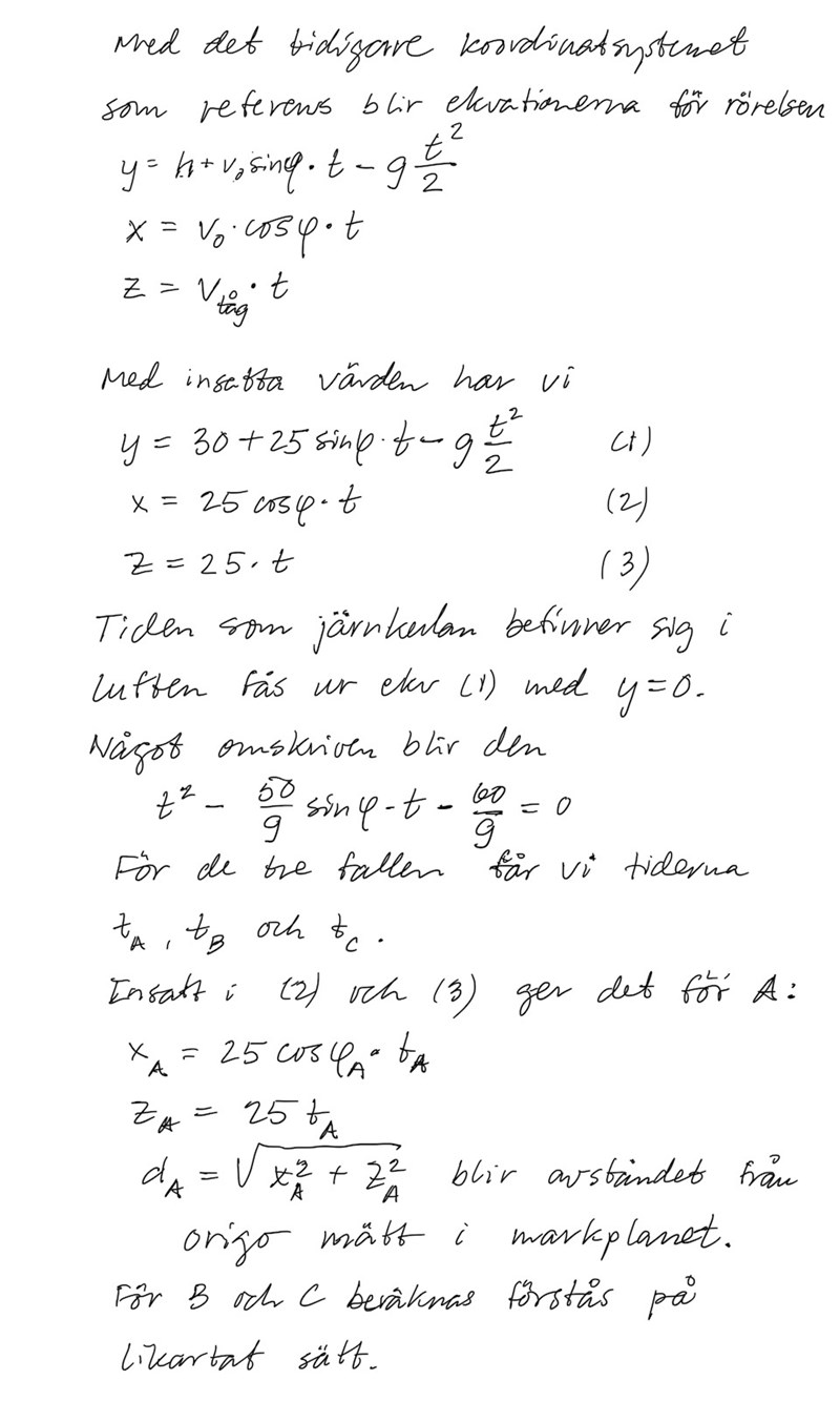
Frågan: Undersök om detta stämmer. Anta att höjden fortfarande är 30 m när de står på tåget och kastar. Kasthastighet och elevationsvinklar ändras inte för de tre vännerna. Bortse från luftmotståndet vid beräkningarna.
Uppgiften består av a), b) och c).
I a) beräknades hur långt person A kastar. I b) beräknades vilken person som kastade längst. Uppgiften ovan är c).
Hur ska man tänka och lösa frågan? Känns att något saknas. Jag kom inte på något och vet ej hur man ska tänka.
Tack på förhand!
Jag har inte räknat på uppgiften, men jag tycker det verkar vara tillräckligt mycket information för att man skall kunna svara på frågorna.
Kan du beräkna hur långt kulan som person A kastar hamnar, när den slår i marken? Kulan har konstant hastighet i x-led men accelererar i y-led.
Smaragdalena skrev:Jag har inte räknat på uppgiften, men jag tycker det verkar vara tillräckligt mycket information för att man skall kunna svara på frågorna.
Kan du beräkna hur långt kulan som person A kastar hamnar, när den slår i marken? Kulan har konstant hastighet i x-led men accelererar i y-led.
Person A:s kast var 61, 8 m
Person B:s kast var 86,4 m
Person C:s kast var 85,9 m
Jag vet att det person A inte kommer att påverkas av tåget, då tåget kommer att åka uppåt/neråt.
Men hur blir det med person B och C?
Jan Ragnar skrev:
Kan du förklara hur du har tänkt? För jag förstår inte hur man ska tänka.

