Kaströrelse (Uppgift 4 fysikdelen 2022)
Hej! Nu var det nästan 2 år sedan jag räknade fysik senast så jag har säkert missat något uppenbart!
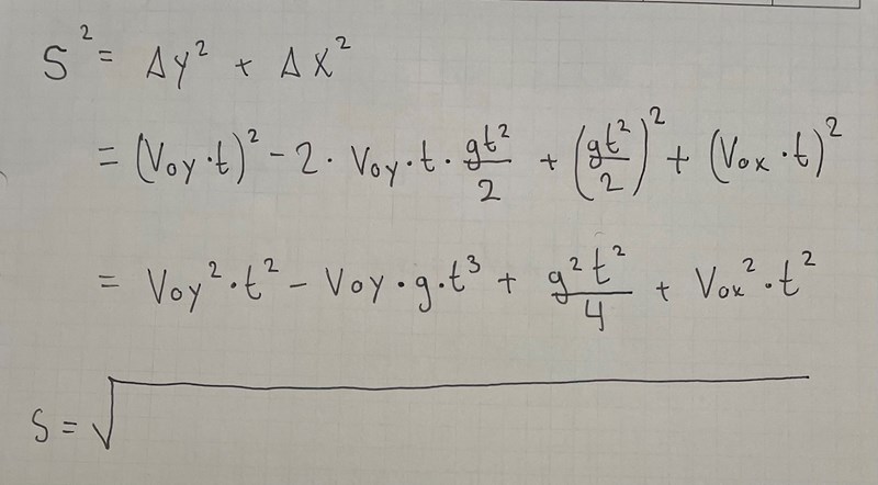
En boll kastas från marknivå med utgångshastigheten v0 i en riktning som är vinkelrät mot marken i en backe som lutar 45°. Dess utgångshastighet har alltså lika stor vertikal som horisontell komponent. Vad är avståndet s från utgångspunkten till den punkt där bollen landar? (Luftmotståndet är försumbart.)

Mitt svar blir fel.
Rätt svar ska vara
Det vanliga vid MaFy-uppgifterna är att det är flervalsfrågor. Och då handlar det ofta om att bara snabbt välja bort felaktiga svar.
Hur vet du att du ska utesluta alternativ A, B och D? Och hur vet du att C är det rätta alternativet? Det enda som skiljer C och D är ju enheten meter, hur vet du att C är rätt av dem?
Fricky skrev:Det enda som skiljer C och D är ju enheten meter, hur vet du att C är rätt av dem?
Formlerna ska fungera i alla system av enheter, även när hastigheten ges som tum/timme och acceleration i tum/timme2. Då får man svar i tum. Så B och D kan strykas omedelbart.
Svar A har fel dimension: en hastighet delat med en acceleration ger dimension tid.
Du är ett geni Pieter!