Kaströrelse
Vid en målvaktsinspark på horisontellt underlag får en fotboll (m=450 g) begynnelsehastigheten 26m/s.
Hur högt når den?
Jag kanske inte har den smidigaste lösningen, men jag kommer i alla fall fram till rätt svar i ett fall (fall 1, dvs 4,9 m). Jag tänker att uppgiften bör gå att lösa så som jag har gjort, men vet i så fall inte hur jag ska tolka mitt andra svar på 30 m. Är det en verklig lösning också eller var någonstans rör jag ihop det?
Är det bara begynnelsehastigheten som är känd? Inget annat? (bollens massa påverkar inte )
Det saknas uppgifter för att man ska kunna svara på hur högt bollen når, det beror på utgångsvinkel och utgångshastighet.
Max höjd får vi om vinkeln är 90 grader, dvs rakt upp.
Glömde att skriva att bollen slår ner 48 m bort! Ledsen för det

ok, då vet vi att kastlängden är 48 meter.
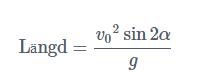
Det finns en formel för kastlängd som funktion av kastvinkel och utgångshastighet, känner du till den eller har du den i din formelsamling?

Den går att härleda tämligen enkelt men det är ju onödigt om du har den i formelbladet
Med den kan du räkna ut vinkeln, sen är det mycket enklare
Jag ser den inte just nu i min formelsamling, men tittade inte så noggrant så kanske missade den. Formeln var dock väldigt smidig att använda, fast jag får samma svar som i min lösning.
Ena vinkeln blir 44/2 = 22 grader och andra blir (180-44)/2 = 68 grader.
Hypotenusan är 26 m/s och hastigheten i x- och y-led går inte att bestämma entydigt, utan det blir ca 9,8 m/s i ena riktningen och 24 m/s i andra (och vice versa). Därefter bör resten av lösningen vara likadan som det jag redan har gjort och då borde det väl inte gå att bestämma endast en korrekt höjd?
Det är riktigt, det finns två lösningar.
Den längsta kastlängden får du om utgångsvinkeln är 45 grader, om du minskar vinkeln kommer du kortare, men även om du ökar vinkeln kommer du en kortare sträcka.
Det finns alltså 2 lösningar på b uppgiften, bägge är matematiskt lika rätt. De flesta målvakter sparkar säkert i en vinkel < 45 grader så det är säkert så att dina 5 meter är ett svar som bättre stämmer med verkligheten.
Okej, det låter rimligt. Tack snälla för hjälpen!
Vid en målvaktsinspark på horisontellt underlag får en fotboll (m=450 g) begynnelsehastigheten 26m/s.