Kaströrelse


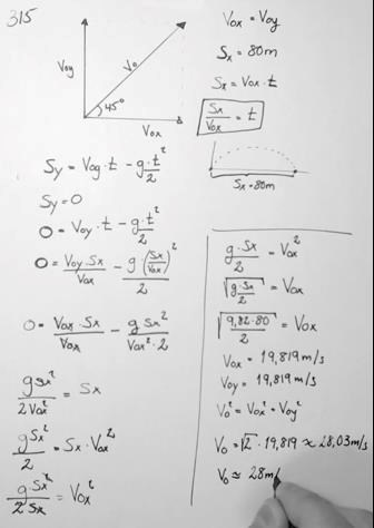
Uppgift 3.15, jag förstår fram till man använder sig av pythagora sats i slutet längst till höger. Varför blir det
Vo = Roten ur två x 19.819. Vart kommer 2an ifrån?
Det står i uppgiften att utgångsvinkeln är 45 grader, så från början har släggan lika stor hastighet i x-riktningen och i y-riktningen.
Rita upp en rätvinklig triangel där en av vinklarna är 45 grader!
Hej och välkommen hit.Hastigheterna i x- och y-led är ju lika, så... kommer du vidare själv nu?
Bubo skrev:Hej och välkommen hit.Hastigheterna i x- och y-led är ju lika, så... kommer du vidare själv nu?
Ja precis , så eftersom hastigheterna i x- och y-led är lika skriver man en tvåa där. Finns det annat exempel där man hade skrivit annat när man drar roten ut?
Nja, en triangel med vinklarna 45-45-90 grader har sidorna 1-1-. Pythagoras sats!
De vinklar du behöver kunna värdena för utantill är 0, 30, 45, 60, 90 grader, och så motsvarande i övriga kvadranter också. För alla andra vinklar räknar man med att du använder miniräknare.
Jaha okej, då förstår jag. Tack:)