5 svar
245 visningar
Biorr 1405
Postad: 9 apr 2025 00:35 Redigerad: 9 apr 2025 00:40

Kaströrelse

Har jag tolkat uppgiften rätt?

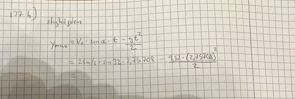
Fastnat  på med a)

ska det blir en andragradsekvation?

Biorr 1405
Postad: 9 apr 2025 00:49 Redigerad: 9 apr 2025 01:15

svaret ska vara 58N på a) och jag fick 55,88 N

Biorr 1405
Postad: 9 apr 2025 01:17 Redigerad: 9 apr 2025 01:25

y ska vara -0,8  i steg 1 varför?

varför går det inte använda s=v•t formeln?

jag får fel svar i beräkning på b)

Yngve 42875
Postad: 9 apr 2025 01:43 Redigerad: 9 apr 2025 01:46

För positionerna i x- och y-led så gäller det att

x(t)=x0+v0xt+axt22x(t)=x_0+v_{0x}t+\frac{a_xt^2}{2}

y(t)=y0+v0yt+ayt22y(t)=y_0+v_{0y}t+\frac{a_yt^2}{2}

Där

  • x(t)x(t) och y(t)y(t) är positionerna i x- respektive y-led vid tidpunkten t
  • x0x_0 och y0y_0 är startpositionerna i x- och y-led
  • v0xv_{0x} och v0yv_{0y} är starthastigjetens i x- respektive y-led
  • axa_x och aya_y är accelerationerna i x- respektive y-led.

Det betyder art alla dina uträkningar beror på hur du väljer att lägga in ditt koordinatsystem.

Om du t.ex. väljer att lägga origo vid utkastpunkten så är y0 = 0 och kulan kommer att landa vid y = -0,8 m eftersom marknivån då ligger 0,8 meter under origo.

Om du istället väljer att lägga origo vid marknivå så är y0 = 0,8 meter och kulan kommer då att landa vid y = 0 meter.

Yngve 42875
Postad: 9 apr 2025 11:02 Redigerad: 9 apr 2025 11:10

Felet du gjorde i a-uppgiften var att du beräknade vid vilka tidpunkter släggan befinner sig 0,8 meter ovanför utkastpunkten, inte hur lång tid det tar tills släggan når marken (som ju ligger 0,8 meter under utkastpunkten).

Jag tror att det blir tydligt om du ritar en skiss över hela parabeln, från utkastet tills dess att släggan landar på marken.

Lägg sedan in ett koordinatsystem där du antingen väljer att lägga origo vid utkastpunkten (dvs 0,8 meter ovan mark) eller vid marknivå (dvs 0,8 meter under utkastpunkten).

För att beräkna hur lång tid det tar innan släggan når marken ska du i det ena fallet lösa ekvationen y(t) = -0,8 och i andra fallet lösa ekvationen y(t) = 0.

Det är viktigt att du förstår varför det är så. Använd gärna din skiss som tankestöd där.

=====

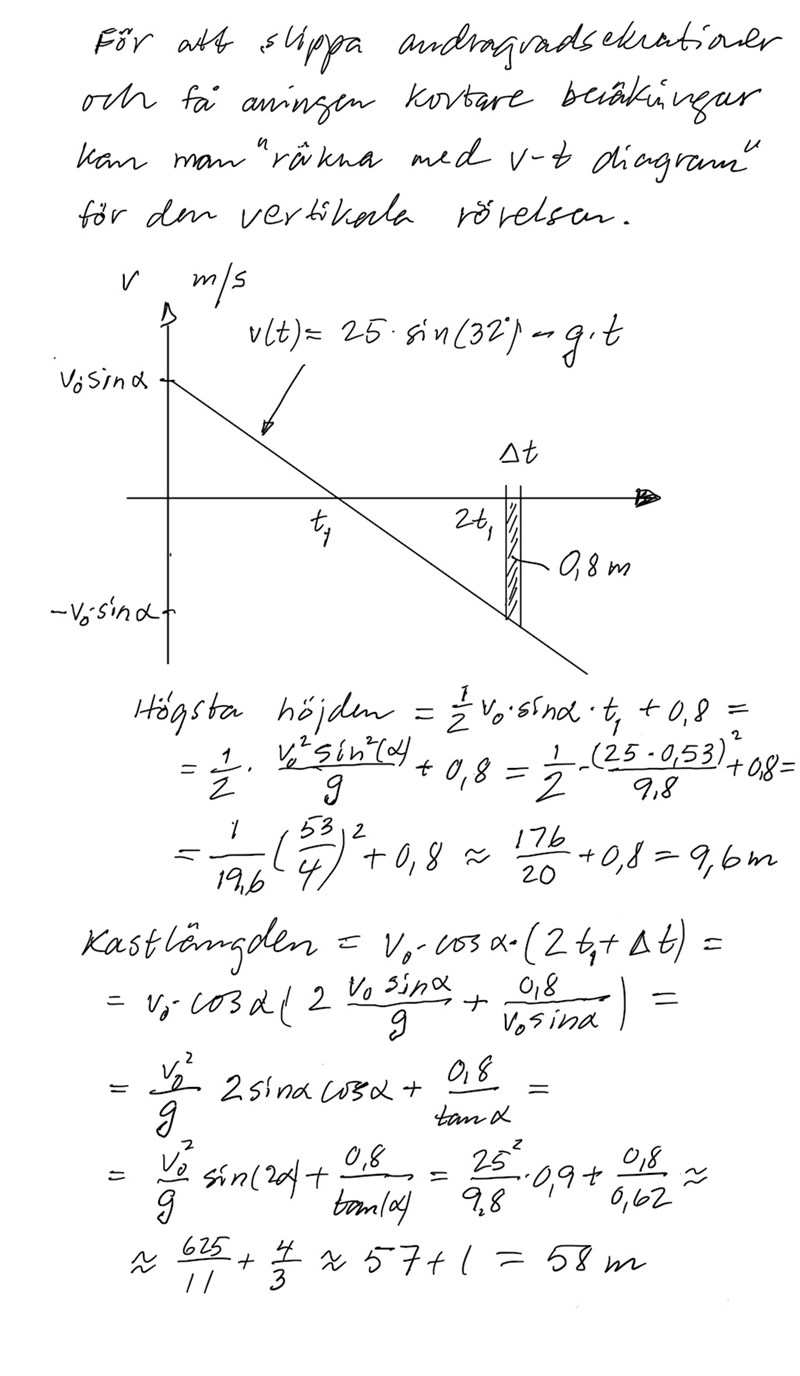
För att lösa b-uppgiften kan du göra på flera olika sätt;

  1. Använda kunskapen om att parabler har sin extrempunkt på symmetrilinjen.
  2. Använda att när släggan är som högst upp så är hastigheten i y-led lika med 0. Då kan du använda att hastigheten i y-led vid tidpunkten t är vy(t)=v0y+aytv_y(t)=v_{0y}+a_yt
Jan Ragnar 2228
Postad: 9 apr 2025 13:48

Svara
Close