Kaströrelse


hejsan skulle jag kunna får lite hjälp att komma igång med uppgiften ?
Börja med att lägga in ett koordinatsystem i bilden.
Du väljer själv hur du vill lägga in det, men lämpligt i det här fallet kan vara att låta
- y-axeln peka vertikalt uppåt
- x-axeln peka horisontellt åt höger
- origo vara utkastpositionen
Då fungerar nämligen de givna formlerna utan modifiering.
Kulan kommer då att vara i positionen (18,28; -2,1) när den tar mark.
Kommer du vidare med den knuffen?
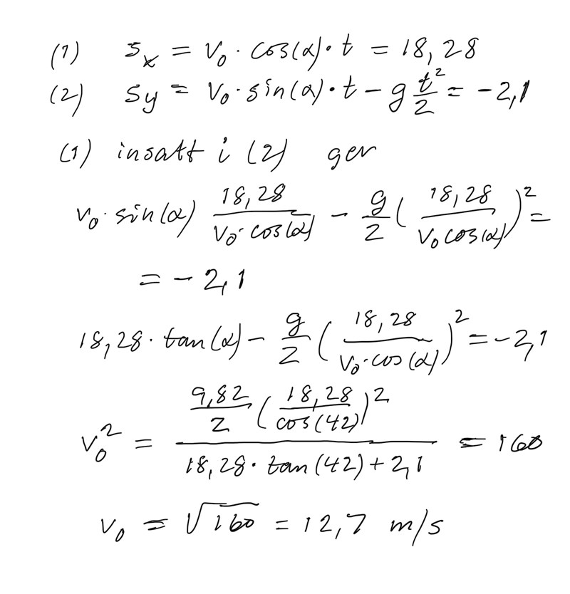
efter kulan kastas i origo och när den når marken så är y=-2,1. Och x(s)=18,28
jag får en andragradsekvation med två okända variabel v0 och t . Vet ej om det ekvationen går att lösas
är det någonting om att V0y är lika med 0 i högsta punkten, utifrån det räkna ut t?
(kaströrelse : hastighet i y led, då blir det -gt2)
Den här formeln gav mig ett rimligt svar. Men vet ej hur att förklara det

det någon form av substitut av dessa formler som skapat formeln jag nyss använt , kommer ej ihåg hur:

På rätt väg?
Du har ju två obekanta x och v0, så du måste ju i så fall skaffa ytterligare en ekvation med dessa två variabler.
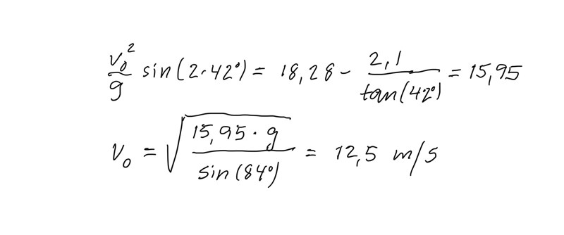
Jag tror följande är en tillräckligt bra approximation:

det här?
Vad är rätt svar enligt facit?
Mellan 12-13.
substitut beräkningen.är rätt väg att gå
Men jag har gjort något fel i substitut beräkningen. Kan inte riktigt se vad
borde jag har använt tan i beräkningen?


