Kedjeregeln

Var gick det fel? Eller gick det ens fel? För enligt facit är svar (-2-4sqrtx)/(sqrtx(sqrtx+x)^5))
Hej.
Det är lite svårt att följa dina tankegångar, men ett fel är iallafall att du skriver som . Det stämmer inte.
Däremot är uttrycket lika med
Yngve skrev:Hej.
Det är lite svårt att följa dina tankegångar, men ett fel är iallafall att du skriver som . Det stämmer inte.
Däremot är uttrycket lika med
Hur deriveras den isåfall?
Vilken detivata är rätt? Infogar också regeln jag följde.


Tillägg: 22 sep 2023 18:47
Den g'(x) längst ner åt vänster sida skall ignoreras
Infogat två nya bilder där jag försökte derivera samt ändra på termen med regeln jag infoga.
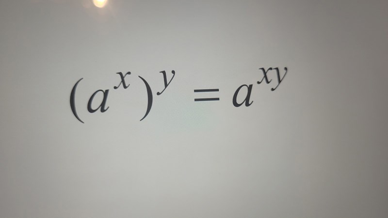
Att (ax)y = axy betyder inte att (ax+az)y = axy+azy.
Det skulle i så fall innebära att (a+b)2 = a2+b2, vilket ju inte stämmer
Det gäller alltså inte att (x0,5+×)-1 = x-0,5+x-1.
======
Låt istället (x0,5+x)-1 vara en sammansatt funktion vars derivata med hjälp av kedjeregeln ör (-1)•(x0,5+x)-2•(0,5•x-0,5+1).
Dvsxderivatan av den yttre funktionen (...)-1 multiplicerat ned derivatan av den inre funktionen x0 5+x.
Yngve skrev:Att (ax)y = axy betyder inte att (ax+az)y = axy+azy.
Det skulle i så fall innebära att (a+b)2 = a2+b2, vilket ju inte stämmer
Det gäller alltså inte att (x0,5+×)-1 = x-0,5+x-1.
======
Låt istället (x0,5+x)-1 vara en sammansatt funktion vars derivata med hjälp av kedjeregeln ör (-1)•(x0,5+x)-2•(0,5•x-0,5+1).
Dvsxderivatan av den yttre funktionen (...)-1 multiplicerat ned derivatan av den inre funktionen x0 5+x.
Tack! Men hur ska man få bort paranteserna? Ska man använda konjugatregeln? Däremot vet jag inte hur efyersom konjugatregeln brukar innebära att (a + b)^2 och har inga potenser med negativ (a+b)^-n
ChristopherH skrev:
Tack! Men hur ska man få bort paranteserna?
Du kan använda potenslagen a-b = 1/ab.
Det ger dig att (x0,5+x)-2 = 1/(x0,5+x)2
Ska man använda konjugatregeln?
Nej.
====
Om så är
Detta kan sedan skrivas om på olika sätt.
Så f'(x) = 4(1/(sqrtx + x)^3? Kan den skrivas som: 4/sqrtx + x)^3 eller 4(sqrtx + x)^3-1?
Ytterligare en sak:
Är g(x) = (sqrtx + x)^-1 derivata lika med g'(x) = -1(sqrtx + x)^-2?
Jag ska försöka derivera, kan ni kritisera mig? Skulle vara jätte tacksamt (Jag skriver med steg så att det blir enklare att påpeka kritiken). Observera att jag använder mig av kedjeregeln f'(x) * g'(x), vilket betyder yttre funktions derivata * inre funktions derivata.
Steg 1, f(x) = (sqrtx + x)^-4.
Steg 2, f'(x) = -4(sqrtx + x)^-5.
Steg 3, skriv g(x) = (sqrtx+x).
Steg 4, Derivera g(x), g'(x) = 0.5x^-0.5 + 1.
Steg 5, multiplicera g'(x) med f'(x), g'(x) * f'(x) = (0.5x^-0.5 + 1)(-4(sqrtx + x)^-5).
Steg 6, förenkla f'(x) = -4(sqrtx + x)^-5 = -4/(sqrtx + x)^5.
Steg 7, skriv tillbaka g'(x) * f'(x) = (0.5x^-0.5 + 1)(-4/(sqrtx + x)^5) = -4(0.5x^-0.5 + 1)/((sqrtx + x)^5).
Det är så långt jag kommer med min matematik, kan inte förenkla bättre än så. Mina misstankar är att jag gjorde fel på Steg 3, eftersom g(x) kan vara = (sqrtx + x)^-1.
-
Isåfall blir svaret: Steg 1.1, g'(x) * f'(x) = (-1(sqrtx + x)^-2)*(-4(sqrtx + x)^-5) = (-4(sqrtx+x)^-2)/((sqrtx + x)^5).
Steg 1.2, Det sista förenklings steget som jag inte heller vet hur man kan med svaret på Steg 1.1. Men kanske jag fick rätt svar ändå på en av mina försök eller behöver man förenkla mera???
Iallafall så är facit: f'(x) = (-2-4sqrtx)/(sqrtx(sqrtx+x)^5))
Kommentar på facit jämfört med mitt svar: Man ser ju lite likheter med ''((sqrtx+x)^5)'' på nämnaren
Du tänker i rätt banor och du kommer fram till rätt resultat, men du bör inte skriva på det sättet, att både f och g är funktioner av x.
Jag föreslår att du istället formulerar lösningen på följande sätt:
Sätt nu inre funktionen
Då är yttre funktionen
Det ger oss att
- derivatan av yttre funktionen, dvs derivatan av f med avseende på g blir
- derivatan av inre funktionen, dvs derivatan av g med avseende på x blir
Kedjeregeln lyder
Om vi sätter in derivatorna från ovan så får vi
Vi sätter nu in funktionsuttrycket för och får då
Multiplicera ihop:
Förkorta med 2:
Tackar! Jag förstår! Men jag förstår inte riktigt hur både täljaren och nämnaren blir 2sqrtx för dg/dx när man har 1/(2sqrtx) + 1 ursprungligen?
ChristopherH skrev:Tackar! Jag förstår! Men jag förstår inte riktigt hur både täljaren och nämnaren blir 2sqrtx för dg/dx när man har 1/(2sqrtx) + 1 ursprungligen?
Ge de två termerna en gemensam nämnare och sätt på samma bråkstreck: