har du facit till uppgiften?
Nope, tyvärr.
Det var länge sen ja jobbar med en sånt kedjefunktion.
har du testat implicit derivering?
Hej!
Du har fått veta värdet av och är ute efter .
Försök att skriva en likhet med där du också använder .
Fråga inte uppgiften om dV/dr? Dvs "vilken hastighet ökar klotets volym när radien är 6.5 cm?"
kanske såhär??
eller om man är osäker på implicit derivering
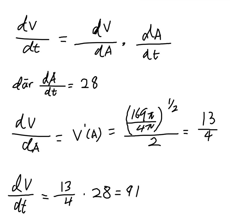
ta fram ett uttryck för V(A) och derivera map A så har du dV/dA, (du behöver också räkna ut vad A är vid r = 6,5)
dA/dt är givet
Stämmer det?
Hur kan man tar fram ett uttryck för V(A)? Det kan ja inte.
sätt in det i formeln för sfärens volym så får du
inte helt rätt deriverat, du glömde inre derivatan från parentesen
Ture skrev:inte helt rätt deriverat, du glömde inre derivatan från parentesen
Det har tänkt på. Men inte skrivit ut.
Ok, well done!
Bra, tusen tack för hjälpen.


