Kedjeregeln, Differentialekvation samt variabelbyte

Jag verkar inte komma fram till någon bra ekvation med u och v så att jag kan lösa differentialekvationen, har jag gjort något fel vid transformationen till u, v från x, y?
(Har testat några ggr)

Vad motsvarar dx och dy i variablerna u och v? Om du har skrivit det någonstans, så är det i alla fall inte tydligt nog, för jag hittar det inte.
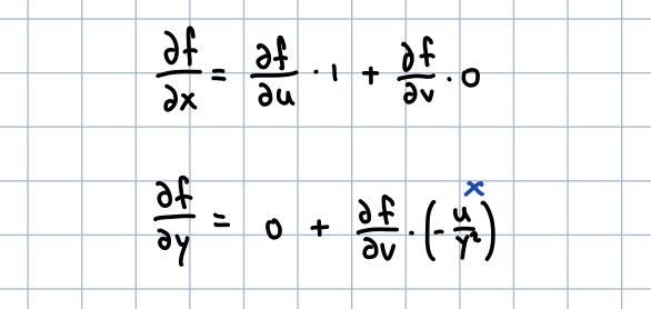
Jag tror du har lite fel i kalkylerna med kedjeregeln. Med u=x, v=x/y får vi:
, varav diff-ekvationen landar i
, osv. Du fullbordar detta på egen hand, eller hur?
dr_lund skrev:Jag tror du har lite fel i kalkylerna med kedjeregeln. Med u=x, v=x/y får vi:
, varav diff-ekvationen landar i
, osv. Du fullbordar detta på egen hand, eller hur?
Tack!
Jag fortsätter och får:
Skulle du kunna visa hur du kommer fram till ?
Och om man byter 1/v mot y/u så verkar man få ett annat svar vilket inte borde stämma?

Smaragdalena skrev:Vad motsvarar dx och dy i variablerna u och v? Om du har skrivit det någonstans, så är det i alla fall inte tydligt nog, för jag hittar det inte.
Tack, jag vet inte riktigt vilken metod som man ska använda, försökte byta till u och v genom kedjeregeln här:

Om du vill så får du gärna visa hur man använder kedjeregeln för jag är ganska osäker :)
dr_lund skrev:,
.
.
Jaa, nu ser jag! Tänkte att derivatan u/y blev noll men u är ju x. Det är lite jobbigt att hålla koll på vilka variabler man ska använda sig av t.ex. om man ska ha u eller x. Detta svarar även på varför den primitiva funktionen blir fel, detta eftersom y = u/v.
Tack för hjälpen!