12 svar
152 visningar
Katarina149 behöver inte mer hjälp
Katarina149 7151
Postad: 2 dec 2021 02:03

Kedjeregeln eller kvotregeln

Derivera  y=(ex^2 ) / (ex^2

Måste man använda kvotregeln här eller kan man derivera med hjälp av att enbart använda kedjeregeln? 

Trinity2 Online 4251
Postad: 2 dec 2021 02:39

Högerled = 1 ?

Yngve 42667
Postad: 2 dec 2021 07:03
Katarina149 skrev:

Derivera  y=(ex^2 ) / (ex^2

Står det verkligen ex2ex2\frac{e^{x^2}}{e^{x^2}}?

Katarina149 7151
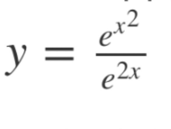
Postad: 2 dec 2021 11:30 Redigerad: 2 dec 2021 11:59

Jag har råkat skriva fel. Så här ska det stå. Måste man kunna kvotregeln för att lösa den här uppgiften?

Yngve 42667
Postad: 2 dec 2021 12:31

Nej det behöver du egentligen inte.

Du kan skriva om kvoten på ett par olika sätt så att du slipper det.

Klicka här för ledtrådar

Du kan använda potenslagen 1a=a-1\frac{1}{a}=a^{-1} för att skriva om uttrycket som en produkt.

Du kan använda potenslagen abac=ab-c\frac{a^b}{a^c}=a^{b-c} för att "bli av" med nämnaren.

Katarina149 7151
Postad: 2 dec 2021 12:38

Men nu måste ju produktregeln användas… Jag vill enbart jobba med kedjeregeln 

Katarina149 7151
Postad: 2 dec 2021 12:40

Eller kanske är det här en rätt derivata?

Yngve 42667
Postad: 2 dec 2021 12:41

Ja, förutom att du har glömt parenteser runt den inre deivatan.

Katarina149 7151
Postad: 2 dec 2021 12:42 Redigerad: 2 dec 2021 12:43

Menar du parentes runt exponenten? Vart är inre derivatan?

Katarina149 7151
Postad: 2 dec 2021 12:43 Redigerad: 2 dec 2021 12:43

Kanske menar du så här 

Soderstrom 2768
Postad: 2 dec 2021 12:44

y'=(2x-2)·ex2-2xy'=(2x-2) \cdot e^{x^2-2x}

Du glömmer parentes för inrederivatan! Förstår du skillnaden?

Katarina149 7151
Postad: 2 dec 2021 13:40

Jaha okej. Om jag sätter parentesen som du gjorde. Blir det då rätt svar på frågan?

Yngve 42667
Postad: 2 dec 2021 13:58

Ja då blir det rätt.

Svara
Close