1
svar
112
visningar
mattedith behöver inte mer hjälp
Kedjeregeln Flervariabelsanalys
Hejsan, förstår mig inte riktigt på vad som händer med dem blandade derivatorna eller vars det är jag missat teckenfel så att de tar ut varandra?
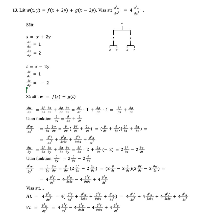
Här kommer först mitt försök till att lösa problemet, tillsammans med problemet som står längst upp.
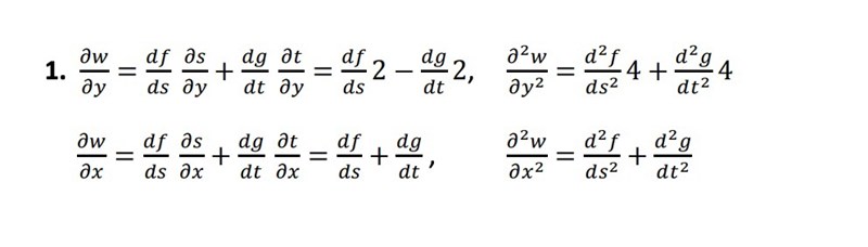
Detta står i facit (som är från en tenta, samma fråga men formulerad på ett lite annat sätt, men anpassade mitt försök utifrån detta):

Tack på förhand!
Tänk på att f bara beror på s och g bara beror på t, de blandade derivatorna försvinner därför
.