Kedjeregeln, partiell differentialekvation
Försöker lösa denna uppgift men det tar stopp här. Lite osäker på om jag går rätt till väga. Jag vill hitta den allmänna lösningen. Förstår inte hur jag ska gå till väga efter jag hittat att f =f’v*v


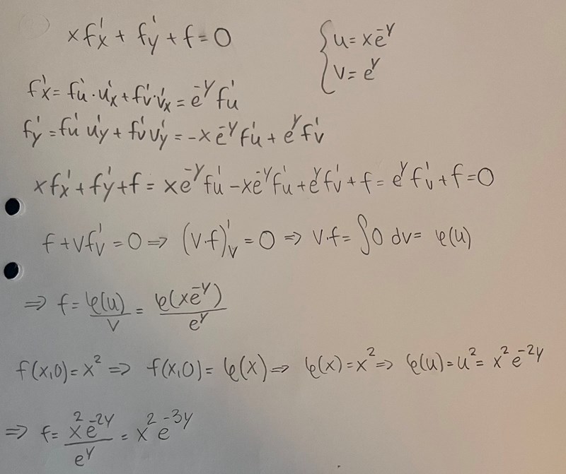
Hej,
Du är väldigt nära.
Din näst sista rad ser inte helt korrekt ut, du bör inte få någon term. Utan den får du att:
. Återgå till dina ursprungliga variabler och få:
. Ditt villkor ger resultatet: .
Dubbelkolla gärna och bekräfta att din PDE stämmer då .
Moffen skrev:Hej,
Du är väldigt nära.
Din näst sista rad ser inte helt korrekt ut, du bör inte få någon term. Utan den får du att:
. Återgå till dina ursprungliga variabler och få:
. Ditt villkor ger resultatet: .
Dubbelkolla gärna och bekräfta att din PDE stämmer då .
Tack för hjälpen! Jag tror att jag till och med lyckades lösa den på ett annat sätt.
Lösning för xf’x+f’y+y=0:
Svaret jag får fram här stämmer även överens med facit.