3
svar
10
visningar
Kedjeregeln tillämpningar
Förstår ej riktogt denna uppgift, hur ska jag anvönda informationen om 6 sekunder när jag inte har tid som variabel i min formel

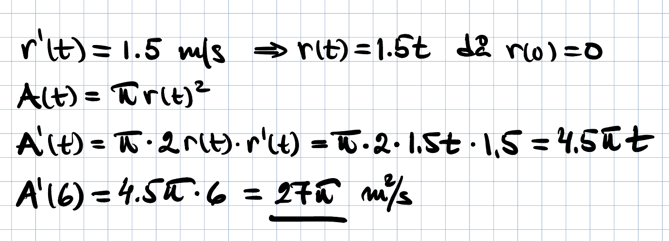
Men radien är en funktion av tiden. Sätt den till R(t).
Då vet man två saker:
1) dR/dt=1,5
2) Ytan kan skrivas A(t) = pi*R(t)2
Hur ändras då ytan A(t) med tiden?
hansa skrev:Men radien är en funktion av tiden. Sätt den till R(t).
Då vet man två saker:
1) dR/dt=1,5
2) Ytan kan skrivas A(t) = pi*R(t)2
Hur ändras då ytan A(t) med tiden?
Så jag ska ha 2 funktioner eller va
