Kedjeregeln. Fel på facit?
Hej!
Jag löste denna uppgift men fick ett annorlunda svar jämfört med facit. Men detta kan väl inte stämma? Varför löser man den på detta sättet?
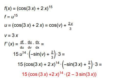
facit
så här gjorde jag

Din lösning är i stort sett rätt, jag bara undrar var kommer (eller om det är en trea, svårt att se) ifrån på näst sista raden?
oj, det ska vara en trea. Då blir det 45 istället för 30.
Men vet någon vad "facit" har gjort för få det så komplicerad? Har inte sätt liknande lösning.
Okej, men var kommer den trean ifrån? Facits svar är nämligen rätt, och ditt svar är också rätt om man bortser från den trean.
Facit har tillämpat kedjeregeln två gånger. Du har beräknat derivatan av i ditt huvud medans facit har använt kedjeregeln ytterligare en gång med .
Aha okej förstår nu tack. Men vad är anledningen att facit använde kedjeregeln två gånger? Om man nu kan få fram svaret på liknande sätt jag gjorde. Tyckte deras lösning var förvirrande
Matt939 skrev:Aha okej förstår nu tack. Men vad är anledningen att facit använde kedjeregeln två gånger? Om man nu kan få fram svaret på liknande sätt jag gjorde.
Du har också använt kedjeregeln två gånger.
Första gången när du fick ut den inre derivatan -sin(3x)+2.
Andra gången när du fick ut den inre derivatan 3 framför sinustermen.
Matt939 skrev:Yngve skrev:Matt939 skrev:Aha okej förstår nu tack. Men vad är anledningen att facit använde kedjeregeln två gånger? Om man nu kan få fram svaret på liknande sätt jag gjorde.
Du har också använt kedjeregeln två gånger.
Första gången när du fick ut den inre derivatan -sin(3x)+2.
Andra gången när du fick ut den inre derivatan 3 framför sinustermen.
Uppenbarligen vet ej vad jag gör då. Haha. Tack.