0
svar
53
visningar
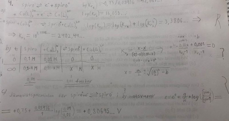
Kemisk jämvikt 10% oxiderat spiro delfråga b
Jag förstår inte hur jag ska komma vidare med b.
- Hur ska jag komma fram till en slutledning om det går att göra lösningen eller inte?
Här är frågan

Här är min början till svar:
