0
svar
49
visningar
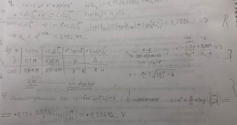
Kemisk jämvikt 10% oxiderat spiro delfråga c
Delfråga c: ska det verkligen vara minus 0,059 V (inte plus) (det står så i facit)
Facit:
Espiro = E0 - 0,059/z * log([red]/[ox] = 0,75 V - 0,059 V * log(0,9/0,1) = 0,69
Uppgiften, här frågar jag om delfråga c

Mitt svar, se c:
