3
svar
147
visningar
kemisk jämvikt
Har fastnat på en uppgift och vet inte hur jag ska göra
uppgift:
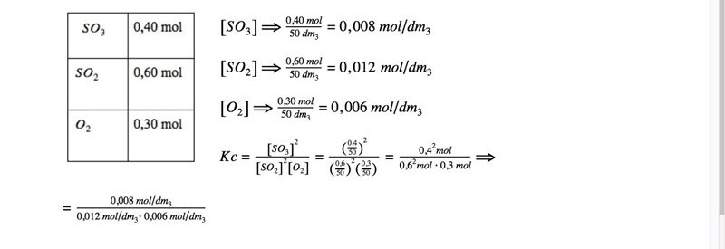
behållare med volymen 50 dm3 finns jämviktsblandning av 0,40 mol svaveltrioxid, 0,60 mol svaveldioxid och 0,30 mol syre. Temperaturen är konstant. Den obalanserade formeln för reaktionen är SO3(g)⟶̸SO2(g)+O2(g)2 SO3(g)2 SO2(g)+O2(g)
Vad jag har gjort:

Vad är det du försöker göra? Vilket problem försöker du lösa?
Kemiska jämvikten, värdet på K
Jag beskar bilden för att dölja dina personuppgifter som var synliga i den ursprungliga bilden.
/Mod