Kemiska reaktioner med salpetersyra och vatten
Hej!
Såhär lyder frågan: 
Ska jag rita upp att salpetersyra reagerar med vatten och vad det är som händer? Om någon kan förklara hur så vore jag tacksam!
Tack på förhand!
Reaktionen med vatten, protolyseringen är det som sker, när syran tillsätts till vatten.
Men frågan handlar om varför det är en stark syra, som i jämförelsen med en svag syra.
Jag vet, men jag skulle gärna vilka förstå vad det är som händer i reaktionen också. Eftersom att det är i vatten, blir det ett extra mellansteg då i reaktionen, alltså med en H+?
Kan du fixa din rubrik, så att den stämmer med frågan? Salpetersyra är inte en organisk molekyl.
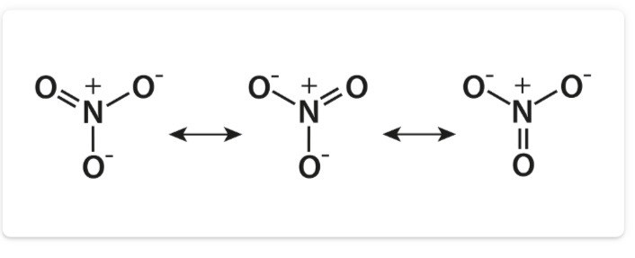
När vätejonen lämnar salpetersyran blir det tre stycken likadana "armar" på nitratjonen tack vare resonans. Detta gär att nitratjonen får en lägre energi, d v s reaktionen "vill" gå åt det hållet där det finns reeonans, alltså blir det en stark syra.
Jag ska fixa rubriken.
Men varför lämnar vätejonen salpetersyran? Är det för att den dras till syret i vattenmolekylen som är elektronegativt?

Vad är det som händer vidare i reaktionen?
motettaimatte5 skrev:Jag ska fixa rubriken.
Men varför lämnar vätejonen salpetersyran? Är det för att den dras till syret i vattenmolekylen som är elektronegativt?
Vad är det som händer vidare i reaktionen?
Det är precis det som händer. Då blir väteatomens elektron kvar i salpetersyran och man får en negativt laddad nitratjon istället. Om denna minusladdning satt kvar på syret som vätet lämnade, skulle man ha en starkt koncentrerad minusladdning där. Då skulle det syret attrahera vätet väldigt starkt, så sannolikheten är stor att vätet lämnar vattnet och binds till nitratjonen för att återbilda salpetersyra igen. Då hade salpetersyra varit en svag syra.
Nu är det inte riktigt så, eftersom minusladdningen inte är särskild koncentrerad vid syreatomen. Den sprids istället ut över hela nitratjonen via resonans. Då blir laddningen mer diffus, vilket gör det mindre sannolikt att vätet skulle återbinda till nitratjonen. Då blir salpetersyra en betydligt starkare syra.
Jag förstår precis allt du skriver, men då kommer nästa fundering. Såhär ser facit ut:

Det har bildats en dubbelbindning och varje bild har två negativa syren. Hur blir det så? Jag förstår att det blir så i reaktionen, men hur förstår jag inte :/
Det är svårt att rita en "enochentredjedels-bindning" så därför ritar man tre olika varianter med två enkelbinidngar och en dubbelbindning. Man behöver lära sig att sanniningen är nånting däremellan, det är det som kallas resonans.
Okej, tack för all hjälp!