Keramik ugn
Har någon möjlighet att förklara vad som menas med dy/dt + 0.12y=2.4?
Det är samma sak som . betyder "derivatan av y, med avseende på t". :)
dy/dt är derivatan av funktionen y, dvs om du deriverar y så kan du se om y' + 0,12y blir 2,4
Ja fast jag förstår inte vad det är jag ska beräkna
Du har fått en lösning till diffen, och uppgiften vill att du kontrollerar att denna ekvation verkligen är en lösning till differentialekvationen. :)
Smutstvätt skrev:Du har fått en lösning till diffen, och uppgiften vill att du kontrollerar att denna ekvation verkligen är en lösning till differentialekvationen. :)
Tror inte att jag förstår
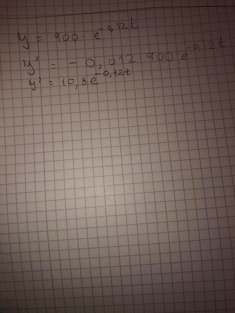
Ekvationen som du har är:
Du har
Vad blir då y' ?
Ja, det är rätt förutom att du måste ha med minustecknet.
Nu har du
Vad blir termen
Jag rättar mig själv och dig: Det blir
Jag råkade ta 900*0.012 istället för gånger 0.12.
okej. Alltså ger derivatan y’=-108*e^(-0.12t)
Vad blir nästa steg?
ska jag beräkna om detta stämmer?
108*e^(-0.12t) +(0.12y)=2.4 ?
Nästa steg är att du skriver produkten
Henning skrev:Nästa steg är att du skriver produkten
Vad menar du? :) Ska jag ta 0.12 *(900*e^-0.12t)?
Precis
Okej. Sen?
Men du tappade en del av y -
Det ska alltså vara 0.12*900*e^(-0.12t) + (20)
= 108e^(-0.12)+20=y
Nu får du kanske
Vad blir det slutligen om du adderar detta uttryck med uttrycket för y' ?
108e^(-0.12t)+(900*e^-012t)+20?
Nja - du hade
Och enligt ovan blir 0,12y =
Så summan blir då: +
Vilket är 2,4
Och det är precis det högerledet av differentialekvationen är
Då är beviset gjort
Det här är vad jag får

Arbeta bara med vänstra ledet av ekvationen, dvs ta inte med 2,4 i högerledet - du ska se om vänsterledet blir just =2,4
Du har missat att ta 0,12 gånger hela uttrycket för y, dvs även för 20.
Om du gör det så får du du
Och e-uttrycken tar ut varandra. Kvar är i vänstra ledet 2,4
Dvs samma värde som högra ledet.
VSB
Man ska alltså undersöka
om y' + 0.12y=2,4
där y=(900*e^-0.12t )+20
och y'=-108*e^-0.12t
-108e^-0.12t+0.12*(900*e^-0.12t)+2.4 ->
-108e^-0.12t + 108e^-0.12t +2.4
2.4 = 2.4
VSB
Precis. Toppen.
Då har du fått lite kläm på denna typ av uppgifter och hur man tolkar och hanterar texten
I b uppgiften ska jag skriva det som
100=900*e^-0.12t
(t=antal timmar)
Äre rätt?
I princip. Men du glömde (åter) termen 20 i uttrycket för y
Så i stället för 100 får du värdet 100-20=80
Är det bättre nu? :)
Mycket bättre, dvs helt rätt
