kinetiska energin

Hej!
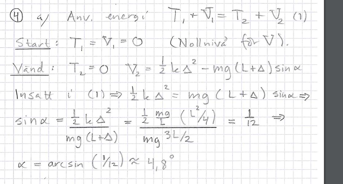
I uppgift A förstår jag inte varför är lika med noll, det vill säga varför den kinetiska energin är noll. Jag förstår ju att den är noll vid startpunkten då massan släpps från vila. Jag förstår också att vi maximal fjäderkompression är också hastigheten =0 vilket och således T=0

Hej!
Men T2 gäller väl vid maximal kompression, dvs vid vändpunkten. Eller missuppfattar jag din fråga.
JohanF skrev:Hej!
Men T2 gäller väl vid maximal kompression, dvs vid vändpunkten. Eller missuppfattar jag din fråga.
Mmm, jag tror att jag har bildat fel uppfattningar.
Om vi börjar med första frågan.
Varför är T2=0 i uppgift a?
om T betecknar den kinetiska energin så är den 0 när kroppen står still (mv2/2) och det gör den vid startpunkten och när fjädern är som mest hoppressad.
Kroppen accelererar utmed planet för att bromsas in när den träffar fjädern, så småningom kommer den att stanna upp och därefter börja pressas uppåt igen av fjäderkraften.
Plugga12 skrev:JohanF skrev:Hej!
Men T2 gäller väl vid maximal kompression, dvs vid vändpunkten. Eller missuppfattar jag din fråga.
Mmm, jag tror att jag har bildat fel uppfattningar.
Om vi börjar med första frågan.
Varför är T2=0 i uppgift a?
Låt oss istället börja med det du förstår. Du skriver i TS att
Jag förstår också att vi maximal fjäderkompression är också hastigheten =0 vilket och således T=0
Förstår du detta?
JohanF skrev:Plugga12 skrev:JohanF skrev:Hej!
Men T2 gäller väl vid maximal kompression, dvs vid vändpunkten. Eller missuppfattar jag din fråga.
Mmm, jag tror att jag har bildat fel uppfattningar.
Om vi börjar med första frågan.
Varför är T2=0 i uppgift a?
Låt oss istället börja med det du förstår. Du skriver i TS att
Jag förstår också att vi maximal fjäderkompression är också hastigheten =0 vilket och således T=0
Förstår du detta?
Ja, jag förstår att vid maximal fjäderkompression är också hastigheten =0 vilket och således T2=0.
Ture skrev:om T betecknar den kinetiska energin så är den 0 när kroppen står still (mv2/2) och det gör den vid startpunkten och när fjädern är som mest hoppressad.
Kroppen accelererar utmed planet för att bromsas in när den träffar fjädern, så småningom kommer den att stanna upp och därefter börja pressas uppåt igen av fjäderkraften.
Det förstår jag helt och hållet. Det som förvirrar mig är att de anger att de vill ha en lutning när förskjutningen är lika med L/2 Hur ska jag veta att vid L/2 har vi maximal fjäderkompression?
I uppgifttexten står det att vagnen vänder när fjädern är maximalt ihoptryckt. I fråga a ska man anta att maximal ihoptryckning är L/2.

Dvs,
- vagnens position för maximal ihoptryckning av fjädern
- vagnens position när fjädern är ihoptryckt L/2
- och vagnens position när den vänder
Är alla samma position.
Planets lutning ger hur mycket vagnen har tappat i lägesenergi vid vändläget, jämfört med den lägesenergi som vagnen hade där den släpptes.
Hänger du med?
JohanF skrev:I uppgifttexten står det att vagnen vänder när fjädern är maximalt ihoptryckt. I fråga a ska man anta att maximal ihoptryckning är L/2.
Dvs,
- vagnens position för maximal ihoptryckning av fjädern
- vagnens position när fjädern är ihoptryckt L/2
- och vagnens position när den vänder
Är alla samma position.
Planets lutning ger hur mycket vagnen har tappat i lägesenergi vid vändläget, jämfört med den lägesenergi som vagnen hade där den släpptes.
Hänger du med?
Nu förstår jag uppgift A och lyckades lösa den, tack.
Men nu strular det med uppgift B också. Min friläggning ser ut så här, vilket inte stämmer med facit
EDIT: jag förstår att allt x-led skulle vara lika med m.a, men inte i det fallet då a=0.

facit:

Du har ritat vinkeln alfa på fel ställe jämfört med uppgiftens ritning i ditt första inlägg.
Med ursprungsdefinitionen blir mgs komposant mot fjädern mgsin(alfa) som ska vara lika med fjäderkraften, kx då accelerationen är 0.
Ture skrev:Du har ritat vinkeln alfa på fel ställe jämfört med uppgiftens ritning i ditt första inlägg.
Med ursprungsdefinitionen blir mgs komposant mot fjädern mgsin(alfa) som ska vara lika med fjäderkraften, kx då accelerationen är 0.
Skulle du kunna förklara ev. ritta hur du kunde se rätt ställe på vinkel alfa?
Så här är alfa definierad i inlägg 1

dvs som vinkeln mellan planet och horisonten
Så här har du definierat vinkeln i din lösning av B uppgiften

dvs vinkeln mellan planet och lodlinjen, därför får du fel
