Kiral atom i neurosedyn
Hej, i min kemibok går de igenom hur neurosedyn har två optiska isomerer på grund av att den har en kiral atom som i det här fallet är ett kol som är bundet till fyra andra atomgrupper och utmarkerat på bilden nedan. Jag förstår varför denna atom är kiral.

Det står dock uttryckligen att detta är den enda kirala atomen i neurosedyn, men när jag kollar på molekylen tycker jag även att det finns två andra kolatomer skulle kunna vara det. Det kolet som är utmarkerat på bilden nedan är ett exempel på det och binder enligt mig till fyra olika atomgrupper. När jag försöker följa kedjan och utgå från kolet verkar det som att atomgrupperna ser olika ut åt varje håll.

Jag tycker dock att det är väldigt svårt att hitta och utesluta kirala atomer i cykliska kolväten och skulle vara tacksam för ett förtyddligande kring det här fallet.
Men ingen av strukturformlerna du infogat visar talidomid, det medicinskt aktiva ämnet i neurosedyn (som är varunamnet, d.v.s. det som stod på förpackningen).
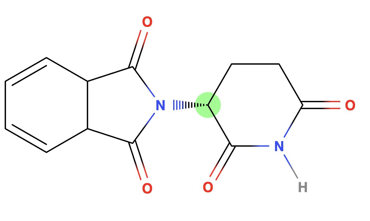
I talidomid finns en aromatisk ring med sex kol, motsvarande den längst till vänster i din bild. Följande bild visar strukturen av (R/S blandningen, d.v.s. racematet av) talidomid:

Med den korrekta strukturen, hittar du fler än ett kiralt center?
Nej, det gör jag inte. Förvirringen uppstod dock när jag utgick från min kemibok där thalidiomid anses se ut på följande sätt:
Det är inte rätt förstår jag nu, vilket är lite skevt just på grund av att det är ett läromedel... Samtidigt är jag glad att detta uppklarades då jag har förundrat mig över detta ett tag.
Det var illa, och trist då det som du skriver är läromedlet. Vilken kemibok har ni?
Gymnasiekemi 2
Sjätte upplagan, utgiven 2013
Författare: Lars Rydén, Arthur Sonesson, Ola Svahn, Aina Tullberg
Förlag: Liber AB