0
svar
176
visningar
ugglebulle behöver inte mer hjälp
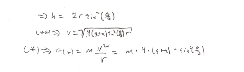
Klurig mekanik uppgift. Pendel i hiss
Uppgift:

Svaret ska ges i termer av a0, g, theta och m. Nedan följer min lösning som är fel. Vet inte vad det är som jag gör som är fel. Tack för hjälpen i förhand!
Jag vet inte riktigt hur arbete energi-relationer ändras i hissen.


