1
svar
151
visningar
Kvadratenskvadrat behöver inte mer hjälp
Klurig statistikfråga - hur ska man angripa detta problem?

Hej! Problemet med denna fråga är att jag inte fattar alls vilken modell man ska använda. Vilket avsnitt inom statistiken berör ens detta?
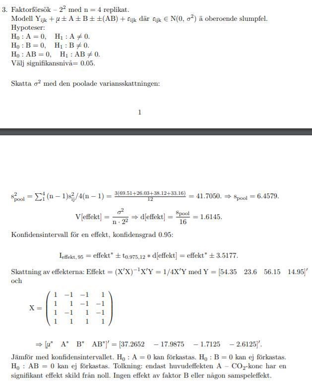
Jag försöker tolka följande facit. Utan att lyckas särskilt bra!

uppskattar all hjälp! Tack på förhand!
Hej!
Detta är en uppgift inom försöksplanering, mer specifikt ett fullständigt faktorförsök med två faktorer.