1
svar
8
visningar
Klurig uppgift om differentialekvationer (hur många är smittade efter 60 dagar?)

Jag tycker uppgiften är svår. Har kommit så här långt:
y' = k*y*(N-y) där N är populationen. y(0) = N/3. Jag kommer inte längre...
Tänker jag rätt?


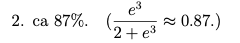
Jag förstår inte facits ledtråd och svar....